서 론
측정개요
측정대상 바닥 매트류
실충격력을 모사한 고무공 충격가진
평가방법
중량 바닥충격음 레벨 (L'i,Fmax,AW)
결과 및 토의
잔향실에서의 바닥충격음 저감성능 결과 (L'i,Fmax,AW_dB)
공동주택에서의 바닥충격음 저감성능 결과 (L'i,Fmax,AW_dB)
바닥충격음 저감성능과 인지여부
결 론
서 론
공동주택 중 아파트의 거주자 중에서 93%(서울시, 2014)가 층간소음으로부터 스트레스를 받고 있다고 조사 되었다. 스트레스 원인 중에서 아이들의 행위에 의한 충격음 발생 원인이 36%(서울시, 2014)로 발표되고 있으며 어른의 보행 시 발생하는 소음 원인으로 약 18% 비율로 파악되었다. 이러한 문제를 해결하기 위해서 건설사, 연구기관, 자재회사 등에서는 바닥구조 중심으로 연구개발(윤창연 외, 2013; 이병권 외, 2016; 강민우 외, 2015) 등이 활발히 진행 중에 있으며 수음실 천장 등에 대한 개발(이성복 외, 2017)도 활발히 진행 중에 있다. 하지만 이러한 연구개발 등은 재실자 중심 보다는 건축시공 중심에서의 개발로 인식되고 있는 것이 사실이다. 재실자 중심에서의 바닥충격음 저감을 위한 행위는 발생인 어린아이의 행위를 반강제적으로 제한하고 있으며 바닥 매트류 등의 추가적인 설치(권현종 외, 2016)를 통하여 충격음 저감을 위한 노력을 하고 있다.
바닥 표면마감재 및 매트류의 경우에는 중량충격음 저감에 효과가 미미하다는 것이 일반적인 결과(권현종과 김명준, 2016)이며 바다표면마감재 (매트류) 중심의 바닥충격음 저감 연구개발도 적은게 사실이다. 그러나 비닐, 마루계열의 표면마감재의 바닥충격음 저감성능 측정은 KS F 2865(KS F 2865, 2015)로 가진원은 중량충격원인 bang machine 을 활용하고 있다. bang machine은 가진했을 경우 충격력이 약 4300 N로 상대적으로 얇은 바다 표면마감재를 설치해도 저감성능 효과는 적다(문대호 외, 2014). 하지만 공동주택에서 발생하는 어린아이들의 행위에서 발생하는 충격력은 약 1100 N(연준오 외, 2018; 연준오 외, 2017) 전 후로 바닥표면마감재 선택에 따라서 바닥충격음 저감성능은 확보 할 수 있다고 판단된다. 그러나 일정 두께를 가지는 바닥 매트류의 충격음 저감성능 측정 및 평가 방법은 부재이며 기존 연구에서의 중량충격음 특성 1 (bang machine), 중량충격음 특성 2 (rubber ball)에 저감성능을 보면 저감성능은 미미하다. 또한 실험(연준오 외, 2014) 에 활용된 바닥구조의 경우 뜬바닥구조 등 바닥 매트류 만의 저감성능에 대한 영향 요인이 존재한다.
또한, 바닥 매트류를 설치하였을 경우 얼마나 충격음이 저감되었는지 거주자가 인지 할 수 있는 범위 및 평가에 대한 방법도 부재중이며 이평직 외 논문(이평직 외, 2006)에서 고무공의 충격음에 대한 저감성능이 125 Hz, 250 Hz 대역의 3 dB 발생할 경우 충격음이 감소하였다고 인지하였다.
따라서 본 논문에서는 바닥 매트류의 충격음 저감성능에 대한 측정 및 평가를 진행하였다.가진원은 고무공 낙하높이 100 cm와 실제 충격력을 고려한 측정 방법으로 구분하였으며 측정 대상은 공동주택 바닥구조 영향을 최소화하기 위하여 실험실(잔향실), 공동주택 Bare-slab를 대상으로 평가를 진행하였다. 또한, 각 측정조건에 따른 저감량 125 Hz, 250 Hz 대역을 중심으로 충격음이 거주자가 인지할 수 있는 범위 까지 저감되었는지 살펴보았다.
측정개요
측정대상 바닥 매트류
본 연구에서는 Table 1~Table 2와 같이 공동주택 바닥상부 어른 성인 보행, 어린이아들 놀이 행위 시 발생하는 충격음 방지를 위해 시중에 판매되고 있는 매트와 유사한 두께로 구성된 단일재료 PE 5종, PU 5종 및 PE, PU 복합구조 5종 그리고 PE(poly ethylene) , PU(poly Urethane), EVA(ethylene vinyl acetate) 복합구조 6종 평판형 매트류에 대한 충격음 저감성능에 대하여 평가를 진행하였다. 매트류의 구성은 단일재료 및 복합구조로 거주자가 손쉽게 구매하여 제작할 수 있으며 두께는 10 mm부터 최대 50 mm까지 구성하였다.
Table 1. Experimental conditions of single or double layered flooring \mats on floor layers
Table 2. Experimental conditions of triple layered flooring mats on floor layers
또한, 본 연구에 활용된 단일 PE 소재, PU 소재 매트류의 동탄성계수 등 기본 물성 값은 Table 3과 같으며 PE 소재 30 mm 밀도는 23 kg/m3, 잔류변형량 1.2 mm로 4300 N의 하중을 가한 후 복원력이 3% 이내로 분석되어 일반적으로 바닥충격음 저감재로 활용되는 EPS, EVA보다 성능이 우수한 것으로 나타났다. 또한, 동탄성계수의 경우에는 15 MN/m3 로 나타났다. PU 소재 30 mm 밀도는 100 kg/m3로 PE 소재 30 mm 보다 약 4배 이상 높은 중량으로 파악되었으며 잔류변형량의 경우 1.5 mm로 PE 소재 30 mm 보다 큰 것으로 나타났다. 하지만 두께의 10% 범위 안의 복원력 수치로 충분한 복원력을 가졌다고 할 수 있다. 또한, 동탄성 계수의 경우 108 MN/m3 로 PE 소재 30 mm 보다 상당히 높은 수치로 나타났다.
Table 3. Result of Properties of PE, PU Mats
| Properties | PE | PU | Index |
| Density (kg/m3) | 23 | 100 | Thickness of PE, PU : 30 mm |
| Residual Strain (mm) | 1.2 | 1.5 | |
| Dynamic Stiffness (MN/m3) | 15 | 108 | |
| Loss Factor (%) | 1 | 1 | |
| Water absorption (%) | 2 | 1 |
바닥 매트류의 충격음 저감성능에 대하여 측정 및 평가를 진행한 곳은 잔향실과 공동주택에서 진행하였다. 잔향실은 슬래브 두께 150 mm 로 구성 되었으며 체적은 음원실 256 m3, 수음실 140 m3이다. 또한, 동일한 시료를 공동주택 slab 두께 210 mm, 하부천장 공기층 200 mm (gypsum board 9.5 mm 마감)로 구성된 84 m2 거실에서 충격음 저감성능 평가를 진행하였다.
실충격력을 모사한 고무공 충격가진
대상 표면마감재의 저감성능에 대한 평가는 공동주택의 어린아이 및 어른들의 보행 시 (뒤꿈치)발생하는 충격력을 대상으로 하였다. 또한, 본 연구시 거주자 대상을 통한 표면마감재의 성능평가 대상이 다양하기 때문에 정확하고 획일적인 실충격원과 유사한 가진 방법을 기존 연구 결과(연준오 외, 2018)를 토대로 중량충격음 특성 2인 고무공 낙하 높이 40 cm로 정하여 실제 충격력 가진을 모사하여 진행하였다. 충격력은 약 1100 N 이며 KS에서 정하고 있는 고무공 낙하 높이 100 cm 도 비교 평가하였다. Figure 1은 고무공(표준중량충격원)의 충격력 측정장면을 나타낸 것이다.
평가방법
중량 바닥충격음 레벨 (L'i,Fmax,AW)
바닥 매트류의 저감량 평가 방법은 실생활 충격력(음)을 KS에서 정한 역 A 특성 가중 바닥충격음 레벨 (L'i,Fmax,AW)로 평가를 진행하였으며 주파수 대역별 저감량과 단일값(single number quantity)으로 정하였다. 주파수 대역은 1/3 octave band 로 도출하였으며 기존 연구(정정호와 이성찬, 2017)에서의 충격음이 줄었다고 인지되는 주파수 대역별 저감량 차이를 3 dB, -3 dB 이상으로 구분하여 청감 인지 범위에 대하여 125 Hz, 250 Hz 대역을 중심으로 분석하였다.
결과 및 토의
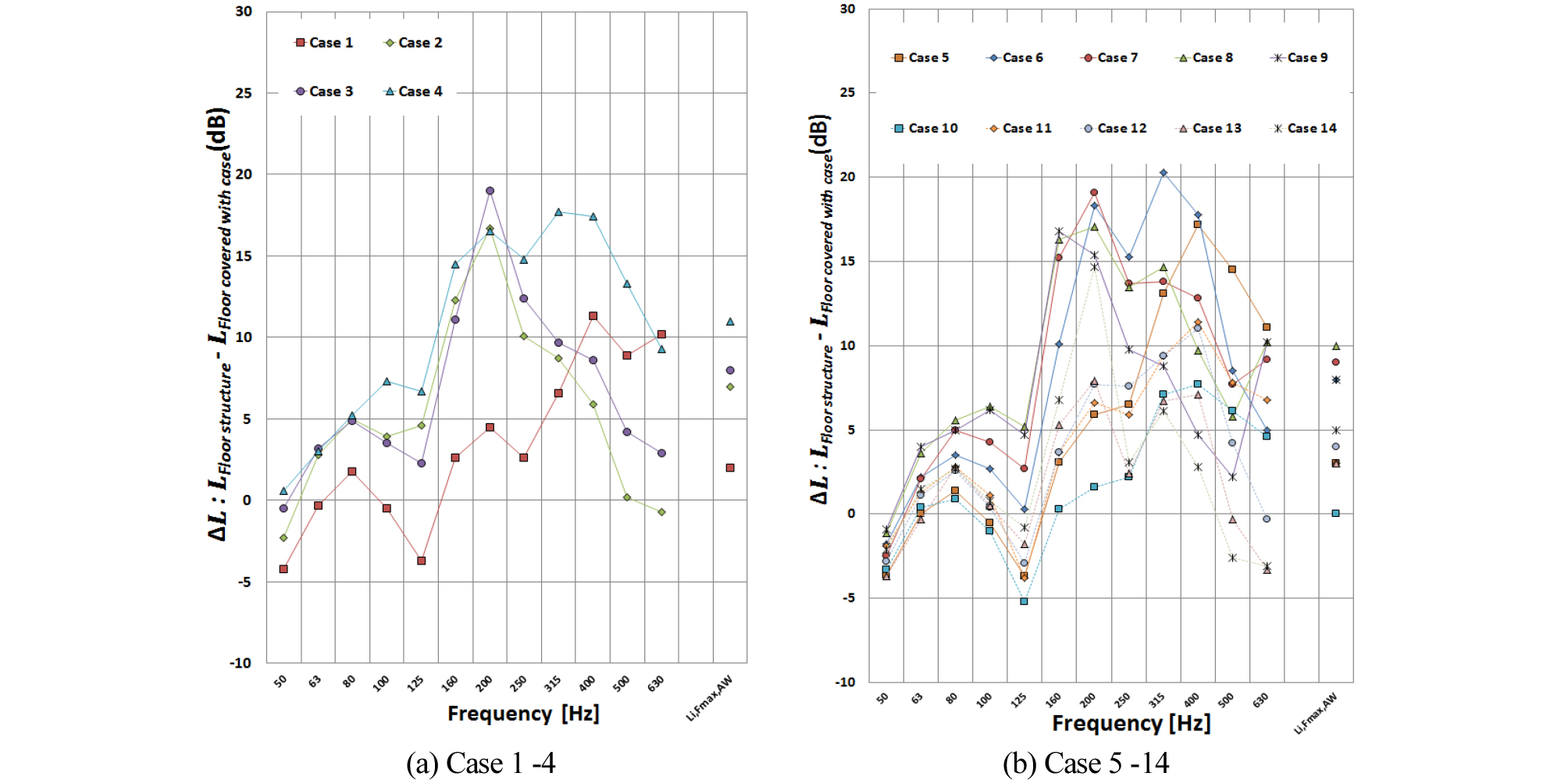
잔향실에서의 바닥충격음 저감성능 결과 (L'i,Fmax,AW_dB)
슬래브 150 mm로 구성된 잔향실에서의 실제 충격력(고무공 낙하 높이 40 cm)에 대한 바닥 매트류의 마감재 충격음 저감성능 결과는 Figure 2(a)와 같이 나타났다. PE 5 mm, PU 소재 5 mm로 구성된 case 1에서 약 2 dB의 바닥충격음 저감성능이 나타났다. 하지만 PE 20 mm, PU 30 mm 로 구성된 case 4 번 시료에서 바닥충격음 차단성능이 가장 높은 39 dB로 나타나 바닥 매트류 마감재 설치 전 보다 약 11 dB 저감성능이 나타났다. 또한, PE 10 mm, PU 20 mm로 구성된 시료가 두께가 두꺼운 PE, PU 소재 각각 20 mm 씩 적용된 바닥 매트류 마감재 보다 바닥충격음 차단성능 효과가 좋은 것으로 나타났다.
PE, PU 단일 재료(case 5 ~ case 14)로 두께 증가에 따른 실제 충격력이 가해졌을 경우 바닥충격음 차단성능을 평가한 결과 Figure 2(b)와 같이 나타났다. PE 가 PU 보다 동일한 두께일 경우 바닥충격음 차단성능 효과가 높은 것으로 나타났으며 PE 40 mm 적용 시 최대 10 dB의 바닥충격음 저감성능이 나타났다. 반면, PU 50 mm를 적용하여 실제 충격력 저감성능을 평가할 경우 약 5 dB의 바닥충격음 저감성능이 나타났다. PE 10 mm의 바닥충격음 저감성능은 PU 약 30 mm ~ 40 mm의 수준과 유사하였다.
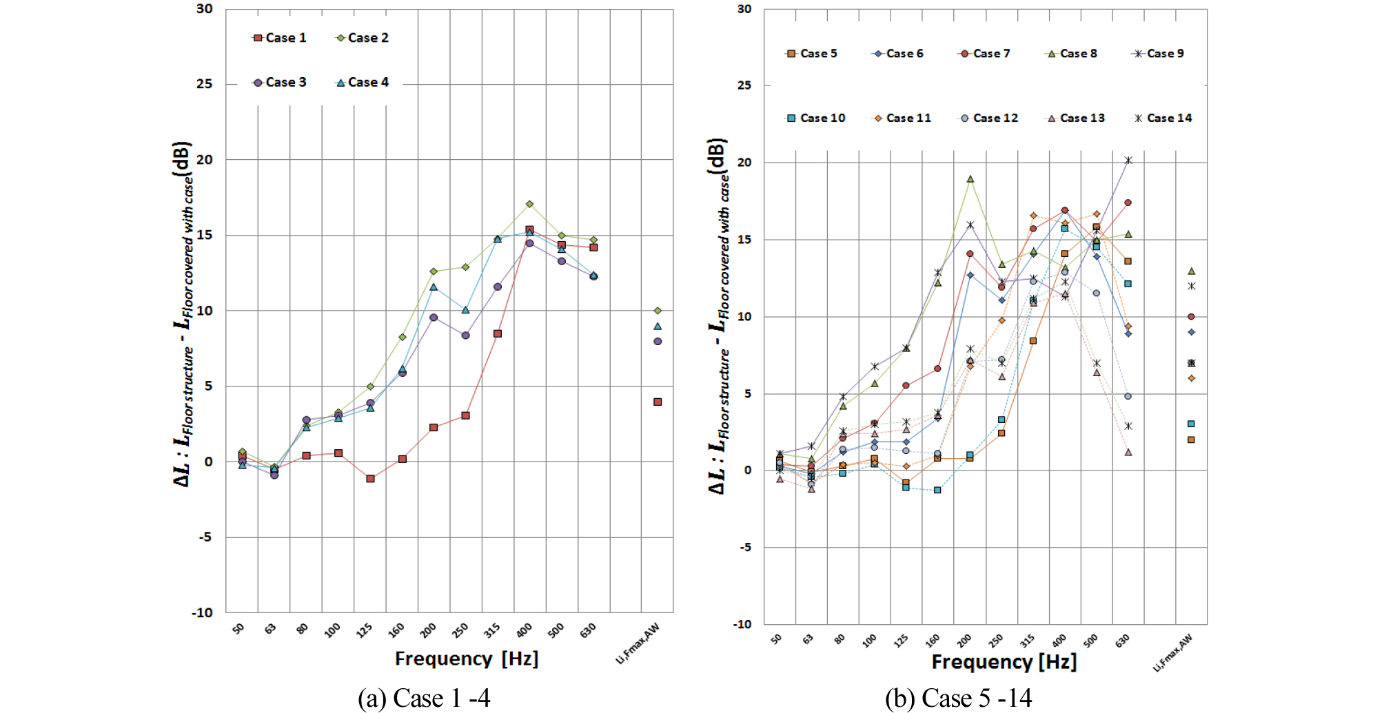
KS 기준에서의 고무공 낙하높이 100 cm로 측정 시 각각의 매트류 마감재 적용 후 바닥충격음 차단성능은 Figure 3과 같이 나타났다. case 1에서 case 4까지 바닥 매트류 마감재의 충격음 저감성능은 case 2의 PE 20 mm, PU 20 mm 조합에서 10 dB로 성능이 가장 높았으며 실충격력과 동일한 고무공 낙하높이 40 cm 시 충격음 저감성능이 가장 높았던 Case 4 매트류에서는 9 dB의 저감성능이 나타났다.
각각의 단일재료로 구성된 case 5에서 case 14의 바닥 매트류 마감재 시료에서는 PE 소재 40 mm가 13 dB 가장 효과가 좋은 저감성능이 나타났다. 또한, PU 소재 매트류 마감재의 경우 두께 30 mm에서 50 mm 까지 차단성능 효과는 유사한 것으로 나타났다.
공동주택에서의 바닥충격음 저감성능 결과 (L'i,Fmax,AW_dB)
잔향실에서의 바닥충격음 차단성능을 평가한 동일한 바닥 매트류 마감재를 대상으로 공동주택 84 m2, 210 mm slab에서 실충격력, KS 기준 고무공 낙하높이로 100 cm에 대한 바닥충격음 차단성능 결과 Figure 4 ~ Figure 5와 같이 나타났다.
실충격력, 고무공 낙하높이 40 cm로 측정했을 때 case 1에서 case 4의 바닥 매트류 마감재 중 case 2, 3 매트류에서 최대 4 dB의 저감성능이 나타났다. 단일 소재의 case 5에서 case 14 까지 바닥 매트류 마감재에서는 PE 소재 두께 50 mm에서 최대 8 dB의 충격음 저감성능이 나타났으며 PU 소재 매트류 마감재는 두께 50 mm에서 약 3 dB의 바닥충격음 저감성능이 나타났다.
KS 기준에 준하여 고무공 낙하높이 100 cm 에서는 복합 소재 매트류 마감재 case 4에서 최대 6 dB의 충격음 차단성능을 확보하는 것으로 나타났다. 또한, PE 단일 소재의 경우 두께 40 mm 이상에서 최대 8 dB의 저감성능이 나타났으며 PU 소재는 두께 30 mm 이상부터 약 4 dB로 동일한 충격음 저감성능이 나타났다.
PE, PU, EVA 3가지의 다양한 소재로 구성된 바닥 매트류 마감재의 충격음 저감성능 결과 Figure 6과 같이 나타났다. 실충격력을 모사한 고무공 낙하높이 40 cm의 측정방법에서 PE 소재 두께 10 mm, PU 20 mm, EVA 20mm 가 적용된 매트류 마감재에서 바닥충격음 차단성능이 최대 4 dB 저감성능이 나타났다. 그러나 PU 소재 가 하부로 적용되었을 때는 최대 3 dB의 저감성능이 나타나 PE 소재가 하부로 적용되었때 보다 충격음 차단성능에는 다소 불리한 것으로 나타났다.
고무공 낙하높이 100 cm의 경우에도 case 17, PE 두께 10 mm가 적용되었을 때 최대 5 dB의 바닥충격음 저감성능이 나타났다. PE 두께 5 mm, PU 5 mm, EVA 40 mm로 구성된 Case 20에서 가장 작은 바닥충격음 차단성능이 확보되어 PE 소재가 하부로 적용될 경우 두께는 최소 10 mm 이상이어야 할 것으로 판단된다.
바닥충격음 저감성능과 인지여부
바닥 매트류 마감재를 적용 후 충격음이 얼마만큼 저감되었는지에 대하여 평가를 진행하였다. 평가방법은 공동주택에서 아이들이 뛰었을 때의 충격음을 통하여 청감실험한 결과와 방법을 인용(정정호와 이성찬, 2017)하여 분석하였다. 평가방법 중 청감실험은 공동주택에서 아이들 행위 시(뜀뛰기 등)발생하는 충격음, 고무공 낙하에 따른 충격음을 대상으로 63 Hz 대역부터 500 Hz 대역 까지 각각의 주파수 대역(Octave band)의 음압을 + 3 dB, - 3 dB 변환하여 랜덤으로 제시하였다. 그 결과 125 Hz, 250 Hz 대역의 음압 레벨이 저감되었을 경우 ‘충격음이 저감되었구나’ 인지가 뚜렷하였다고 언급하고 있다.
따라서 다양한 바닥 매트류 마감재를 적용 후 저감량에 대하여 거주자 (하부실)가 ‘충격음이 저감되었구나’ 인지할 수 있는 정량적 평가를 인지가 뚜렸했던 주파수 대역 125 Hz, 250 Hz 을 중심으로 평가를 진행하였다. 평가에 활용된 데이터는 삽입손실량으로 (∆𝑳 : 𝑳Floor structure - 𝑳Floor covered with case(dB)하였으며 실충격력과 유사한 고무공 낙하높이 40 cm 측정 데이터를 중심으로 하였다.
Figure 7은 잔향실험실에서 바닥 매트류 마감재 총 14가지 case에 대한 충격음 저감 인지범위를 분석한 결과로 주요 주파수 대역 125 Hz 대역과 250 Hz 대역 모두에서 3 dB 저감한 구조는 복합 바닥 매트류 마감재 중에서 case 2 (PE 20 mm, PU 20 mm) , case 3 (PE 10 mm, PU 20 mm), case 4(PE 20 mm, PU 30 mm) 구조에서 나타났다. 또한, PE, PU 각각 단일 소재로 구성된 바닥 매트류 마감재에서는 PU 두께 별 매트류와 case 5 (PE 10 mm)를 제외한 모든 바닥 매트류 마감재 설치 후 거주자가 충격음이 저감되었다고 인지할 수 있는 레벨 이상이 확보되는 것으로 분석되었다.
따라서 잔향실에서 측정한 결과 PE 두께 20 mm를 설치해도 거주자가 충격음 저감에 대한 인지는 가능한 것으로 나타났다.
잔향실에서와 동일한 바닥 매트류 마감재를 공동주택 bare slab 210 mm 에서 충격음 저감성능 인지범위를 분석한 결과 Figure 8과 같이 나타났다. 저주파수 대역인 63 Hz 대역의 저감성능은 거의 없는 것으로 나타났으며 PE, PU 복합소재로 구성된 바닥 매트류 마감재는 case 2, case 3에서 125 Hz, 250 Hz 대역에서 3 dB 이상 저감되는 것으로 나타났다. 또한, 단일구조에서는 잔향실에서의 인지저감 범위 결과와 유사하게 PE 두께 20 mm 이상에서 3 dB 이상 저감성능이 확보되었으며 PU 소재 바닥 매트류 마감재의 경우 두께 50 mm에서만 3 dB 저감성능을 보여 충격음 저감인지 범위를 확보하는 것으로 나타났다.
3개 이상의 복합소재로 구성된 바닥 매트류 마감재의 충격음 저감 인지범위 분석결과 Figure 9와 같이 나타났다. 63 Hz 대역은 모든 바닥 매트류 마감재에서 충격음이 증폭되는 것으로 나타났으며 case 15 (PE 10 mm, PU 10 mm, EVA 10 mm), case 17 (PE 10 mm , PU 20 mm ,EVA 20 mm) case 18 (PU 10 mm, PE 10 mm, EVA 30 mm), case 19 (PU 20 mm, PE 10 mm, EVA 20 mm)구조에서 충격음 저감 인지범위를 확보하는 것으로 나타났다. 3개 이상의 복합구조의 경우 125 Hz 대역과 250 Hz 대역의 저감량은 다른 바닥 매트류 마감재보다 작은 것으로 나타났으며 이 결과는 바닥 충격음 차단성능(Li,Fmax,AW)과도 유사한 경향을 보였다.
결 론
본 연구를 통하여 표준중량충격원(충격력 특성 2, 고무공 낙하높이 100 cm)와 거주자 실충격력을 고려한 충격력(고무공 낙하높이 40 cm)을 적용하여, 20종의 바닥 매트류 마감재의 충격음 저감효과를 실험한 결과를 정리하면 다음과 같다.
(1) 잔향실에서 바닥 매트류 마감재 총 14종에 대하여 충격음 저감성능 측정결과 KS 기준에 의한 고무공 가진 높이 100 cm의 경우 PE 단일소재 두께 40 mm에서 13 dB의 충격음 차단성능 효과가 있었다. 실 충격력을 모사한 고무공 낙하높이 40 cm 로 가진했을 경우에도 PE 소재 40 mm에서 10 dB로 바닥충격음 차단성능이 가장 우수한 것으로 나타났다.
(2) 공동주택 bare slab 210 mm 에서의 고무공 낙하 높이 100 cm 바닥 매트류 마감재 (Case 1 ~ case 14) 바닥충격음 저감성능은 PE 단일 소재로 구성된 두께 40 mm 이상에서 8 dB 로 나타났다. 또한, 고무공 낙하높이 40 cm 측정 시 동일한 시료에서 최대 7 dB의 저감성능을 확보하는 것으로 나타났다.
(3) 또한 3가지 이상의 소재로 구성된 바닥 매트류 마감재의 충격음 저감성능은 고무공 낙하높이 100 cm 시 유사한 저감성능이 나타났지만 PE 소재 10 mm 이상 하부에 적용되었을 경우 약 1 dB 높은 저감성능이 나타났다. 고무공 낙하높이 40 cm의 경우 case 17 (PE 10 mm, PU 20mm, EVA 20mm)에서 최대 4 dB의 저감성능을 확보하는 것으로 나타났다.
(4) 잔향실에서의 바닥 매트류 마감재 적용 후 저감 인지범위에 대한 분석 결과 복합구조인 case 2에서 case 4, 단일구조인 PE 소재 두께 20 mm 이상에서 125 Hz와 250 Hz 대역에서 3 dB 이상의 저감성능이 나타났다.
(5) 공동주택 bare slab 에서는 2가지 이상 복합소재 매트류 마감재에서는 case 2, case 3에서 125 Hz, 250 Hz 대역에서 3 dB의 저감성능 인지범위로 나타났으며 PE 소재 두께 20 mm 구조 이상에서만 저감성능 인지범위를 포함하는 것으로 나타났다. 또한, 3가지 이상의 복합구조 바닥 매트류 마감재에서는 case 15, case 17에서 case 19 4가지 구조에서 3 dB 이상의 인지할 수 있는 범위안의 수치가 계측되었다.
향후, 공동주택에서 발생하는 충격음을 저감하기 위하여 사용되는 매트류 마감재 대상으로 충격음 저감성능 측정방법(잔향실, 바닥충격음 시험동, 고무공 등), 평가방법 등 규격 및 고시 개정 시 기초자료로 활용이 가능할 것으로 사료된다.











