서 론
학교는 주의력과 집중력이 요구되는 학습 활동이 주로 이루어지는 공간으로, 이러한 활동을 원활히 할 수 있도록 하기 위해서는 열, 빛, 음, 공기환경 등 실내 환경을 쾌적하게 유지하는 것이 매우 중요하다. 특히 최근 대기 중 미세먼지 문제가 대두됨에 따라 실내 미세먼지 농도를 비롯한 실내공기질 전반에 대한 국민의 관심과 인식 수준이 높아지면서, 학생들이 장시간을 체류하는 학교의 실내공기질 관리에 대한 요구가 또한 증대되고 있다. 실내공기질은 학생의 건강에 직접적인 영향을 미칠 수 있으므로 실내 공기환경에 대한 객관적 평가를 바탕으로 상황에 맞는 유지관리 및 개선 활동이 병행되어야 한다. 현재 국내에서는 학교보건법 시행규칙 [별표 4의 2] 공기질 등의 유지․관리기준에 학교 교사에서 관리해야 할 미세먼지 등 17종의 오염물질 항목과 유지기준이 제시되어 있다(MOE, 2019). 이에 따라 매년 1회 이상 환경위생점검을 시행하여 공기질 상태가 기준에 미달하는 경우 시설의 보완 등 필요한 조치를 하도록 하고 있으나, 오염물질의 종류 및 발생원이 다양하고 유지기준치 대비 농도 분포 정도도 다르므로 개별 오염물질의 유지기준 충족 여부만으로는 학교의 공기환경 수준을 종합적으로 평가하고 하기 어려운 실정이다.
한편, 대기질의 경우, 국내의 통합대기환경지수 CAI (Comprehensive Air Quality Index), 미국 환경청의 AQI (Air Quality Index), 홍콩의 대기질 건강지수(Air Quality Health Index) 등과 같이 대기 중의 대표적인 개별 오염물질 농도 수준에 따른 대기질 지표를 제공함으로써 일반인들이 대기질 수준에 대해 쉽게 이해하고 정책결정자들이 알맞은 예․경보를 발령할 수 있도록 하고 있다. 최근 이러한 대기질 지표의 개념을 실내 공기환경으로 확장하여 건물의 관리자가 직관적으로 실내공기질 수준을 파악하고 공기환경 개선을 위한 의사결정을 할 수 있도록 하기 위한 실내 공기환경 지표들이 개발되고 있다. Wang et al. (2008)은 대만의 실내공기질 가이드라인 및 건강 위해도에 근거하여 오염물질 농도의 기준치를 설정하고, 미국 AQI 방법론에 따라 실내공기질 지표를 개발하였다. Saad et al. (2017) 또한 AQI를 응용하여 실내공기질 및 온열환경 평가지표(Indoor Air Quality Index, IAQI; Thermal Comfort Index, TCI)를 도출하고 두 지수를 결합한 종합지표인 Indoor Environmental Index (EIAQI)를 개발하였다.
실내공기질 지표가 효율적인 평가 수단으로 활용되기 위해서는 적절한 평가기준치의 설정이 필요하다. 건물의 성능평가를 위한 비교기준은 Figure 1과 같이 절대적 기준치와 상대적 기준치로 구분할 수 있다(Leipziger, 2013). 절대적 기준치는 현행 규정이나 지침 등에 근거한 단일 수치 또는 등급화된 수치로 설정되며, 최종적으로 달성해야 하는 목표를 강조하는 정책적 측면에서 더 적합하다. 상대적 기준치는 측정 데이터 또는 참조 건물의 시뮬레이션 값의 통계적 표준 등에 근거하여 설정되며, 유사 조건의 건물 또는 시설(Peer Group)의 성능 데이터를 기반으로 다른 건물들과 비교함으로써 성능 수준에 대한 정보를 제공해 줄 수 있다. 이에 본 연구에서는 학교 교실의 실내 공기환경 수준 판단 및 개선방안 도출에 직관적으로 활용될 수 있는 공기환경 평가지표 개발을 목적으로 평가대상 학교의 오염물질 농도 측정치의 비교 대상이 되는 절대적 기준치와 상대적 기준치 설정 방안을 도출하고자 한다. 실내공기 오염물질 항목은 학교보건법 시행규칙 공기질 등의 유지․관리기준의 오염물질 항목 중 일반 교사 및 급식 시설에 적용되는 PM10, PM2.5, CO2, 폼알데하이드, 총부유세균 등 5개 물질을 대상으로 하였다.
절대적 기준치 설정
오염물질 항목별 절대적 기준치는 인체 위해도 및 실내 분포 경향 등을 고려하여 현행법적 기준이나 지침 등에서 제시되어 있으므로, 본 연구에서도 이를 활용하고자 한다. 이를 위해 Table 1과 같은 실내공기질 관련 국내외 법규, 가이드라인, 인증제도, 실내환경 지표 등에서 규정하고 있는 5개 오염물질 농도 기준치를 조사하였다.
Table 1.
IAQ code, certification, guideline, and index
국내에서는 교육부 학교보건법 시행규칙[A](MOE, 2019)에서 본 연구에서 선정한 5개 오염물질 항목에 대한 단일 기준치가 제시되어 있으며, 환경부 실내공기질 관리법 시행규칙[B](ME, 2020)에서 일반 다중이용시설, 의료기관 등 민감시설, 실내주차장, 실내체육시설 등 4개 시설 군별로 단일 기준치가 제시되어 있다. 어린이와 노인 등의 주 활동 공간을 대상으로 하는 서울시 실내공기질관리 우수시설 인증제[C]에서는 오염물질별 농도 수준에 따라 배점을 차등 부여하며, 해당 분야 배점 55점의 60% 이상 획득이 인증 부여 요건 중 하나로 설정되어 있다. 홍콩 IAQ Certification Scheme[D](IAQ Management Group, 2019)은 사무실과 공공장소를 대상으로 ’03년부터 운영되어 오고 있는 인증제도로, Excellent Class와 Good Class 등 2개 등급으로 구분하여 기준치를 제시하고 있다. ’19년에 IAQ 기준치 개정에 따라 PM10 농도의 Good Class 기준치가 180 ㎍/㎥에서 100 ㎍/㎥으로 강화되었다. Finnish Classification of Indoor Climate 2018[E]은 핀란드 환경부, 핀란드 실내공기환경학회가 운영하는 건축물 실내 환경 등급 평가 가이드라인이다. ’95년에 최초 제정된 후 ’00년에 개정되어 Classification of Indoor Climate 2000으로 운영되어 오다가 ’18년에 재개정되었다. 재개정 전에는 PM10 등 8개 오염물질 농도에 따라 3개 등급으로 구분하였으며, 현재 버전에서는 PM2.5, CO2, 라돈 등 3개 오염물질 농도에 따라 2개 등급으로 구분하여 평가한다. 개정 후 이산화탄소 농도 기준치가 매우 강화되었으며, PM10 대신 PM2.5 농도 기준치가 신설되었다(Ahola et al., 2019). 싱가폴에서는 업무시설의 실내공기질 기준치로 CO2 등 4개 물질에 대한 유지기준과 PM10 등 4개 물질에 대한 권고기준을 단일 수치로 제시하고 있다(IEE, 1996). Wang et al. (2008)[G]는 IAQ index 개발을 위해 11가지 오염물질 농도에 대한 6개 등급의 기준치를 설정하였으며, Saad et al. (2017)[H]은 미국 EPA (Environmental Protection Agency), 미국 OSHA (Occupational Safety and Health Administration), WHO (World Health Organization) 등과 같은 환경기관에서 제공하는 지침을 참고하여 CO2 등 총 7개 오염물질 농도와 온도 및 습도 등 2개 온열환경 요소에 대해 4개 등급의 기준치를 설정하였다.
5개 오염물질 항목의 기준치를 정리하면 Table 2와 같다. A, B, F는 규제의 목적으로 허용 기준치를 단일 수치로 제시하였으며, C, D, E는 공기환경의 우수한 정도를 평가하기 위한 지표들로서 허용 기준치 이하의 범위를 더 세분화하였다. G와 H는 공기환경의 위해한 정도를 평가하는 데 더 중점을 둔 지표로서 통상적인 허용 기준치를 2~3등급 수준으로 두고 기준치 이상의 범위도 더 세분화하였음을 알 수 있다.
Table 2.
Comparative references of IAQ code, certification, guideline, and index
오염물질별로 살펴보면, PM10에 대해서는 일반인 대상 100 또는 150, 민감군 대상 60~75, 우수한 수준으로 15~30 ㎍/㎥가, PM2.5에 대해서는 일반인 45~50, 민감군 35, 우수한 수준으로 10 ㎍/㎥ 정도의 기준치가 제시되고 있다. CO2의 경우 일반인 및 민감군 900~1000, 우수한 수준으로 600~800 ppm이, 폼알데하이드에 대해서는 일반인 100~ 120, 민감군 50~80, 우수한 수준 10~30 ㎍/㎥이, 총부유세균에 대해서는 일반인 1000, 민감군 800, 우수한 수준 200~500 CFU/㎥ 범위의 기준치가 제시되고 있는 것으로 분석되었다. 본 연구는 학교 교실, 즉 민감군이 사용하는 공간의 실내 공기환경을 대상으로 하므로, 이와 같은 분석 결과 및 학교보건법 시행규칙 기준, WHO 기준 등을 참고하여 Table 3과 같이 절대적 기준치를 설정하였다.
상대적 기준치 설정 방안
데이터 및 분석 방법
절대적 기준치는 고정된 수치로 제시되는 반면, 상대적 기준치는 유사한 조건을 갖는 비교군(peer group)의 성능 수준 및 환경 요인의 변화 등을 참고하여 설정되므로 변동될 수 있다. 따라서 본 연구에서는 학교알리미 사이트를 통해 제공되는 전국 학교 환경위생관리 현황 데이터를 사용하여 오염물질별 분포 특성을 분석하고 적정 비교군을 도출하여 상대적 기준치를 설정하는 방안을 제안하고자 한다. Table 4는 분석에 활용된 국내 학교의 유형별·연도별·지역별 개요를 나타낸다. 학교 유형별로는 초·중·고등학교를, 연도별로는 ’16~’19학년도를 대상으로 하였으며, 지역별로는 광역지방자치단체 17개 시도로 구분하여 나타내었다. 오염물질 5개 항목 중 PM2.5와 총부유세균은 학교보건법 시행규칙 개정(’18. 3. 27)에 따라 신규 추가되어 ’19년부터 측정되었으므로 ’19년 데이터만 분석하였다.
Table 4.
Status of elementary, middle, and high schools by region, year and school type*
오염물질별로 적절한 비교군을 설정하기 위해서는 각 오염물질의 발생 요인을 고려할 필요가 있다. 예를 들어 미세먼지는 재실자 활동 등에 의한 실내 발생뿐 아니라 대기로부터 유입되는 경우가 많으므로 지역별 분석이 추가로 요구되며, CO2는 인체의 호흡이 주요 발생원이므로 재실 인원 관련 분석이 요구된다. 따라서 각 오염물질에 대한 학교 유형별, 연도별 비교․분석 외에 PM10과 PM2.5에 대해서는 지역별 분석을 추가하였으며, CO2에 대해서는 학급당 학생 수에 따른 분석을 시행하였다. 폼알데하이드와 총부유세균에 대해서도 신축 여부 및 배식 공간 등 발생원을 고려하여 분석하였다. 각 학교의 학급당 학생 수, 건축년도, 배식 공간 관련 정보 또한 학교알리미 공시데이터를 활용하였다.
오염물질별 분석 결과
PM10
전체 학교의 4개년 평균 PM10 농도는 47.3 ㎍/㎥로, Figure 2에 나타난 바와 같이 학교 유형별로 큰 차이가 없는 것으로 파악되었으며, 39.1~52.6 ㎍/㎥의 범위에 분포하여 절대적 기준치 Class 2 수준에 근접함을 알 수 있다. 학교 교실 내 PM10 농도는 대기 중 PM10 유입뿐 아니라 학생들의 활동 등에 의해 내부에서도 발생하고 각 학교에서 연 1회 측정되는 값이므로, 외기 연평균 농도와 비교하였을 때 전반적으로 약간 높게 나타났다. 그 차이는 ’17년 6.1 ㎍/㎥, ’18년 7.3 ㎍/㎥, ’19년 0.0 ㎍/㎥로 ’19년에 특히 감소하였는데, ’18년에 교육부 학교 고농도 미세먼지 대책이 발표됨에 따라 각 지자체 교육청에서 학교 공기정화장치 보급 확대 등 세부 대책을 마련하고 실행한 것이 영향을 주었을 것으로 판단된다(Kim et al., 2020).
Figure 3은 각 학교의 4개년 평균 PM10 농도분포를 지역 구분에 따라 학교 유형별로 나타낸 것이다. 울산광역시 학교의 경우 대부분 Class 2와 3 사이에 분포하고, 허용 기준치 75 ㎍/㎥를 초과하는 학교의 비율도 다른 지역보다 상당히 높음을 알 수 있다. 초․중․고 전체 평균도 62.8 ㎍/㎥로 전국 평균 47.3 ㎍/㎥보다 약 32.8% 높게 나타났다. 반면, 경상북도, 강원도의 학교는 대부분 Class 1과 2 사이에 분포하고, 전체 평균도 각각 31.4 ㎍/㎥와 32.5 ㎍/㎥로 전국 평균보다 각각 33.6%, 31.3%만큼 낮고 울산광역시와 비교했을 때는 약 50% 수준에 해당하는 등 지역별 차이를 확인할 수 있다.
PM2.5
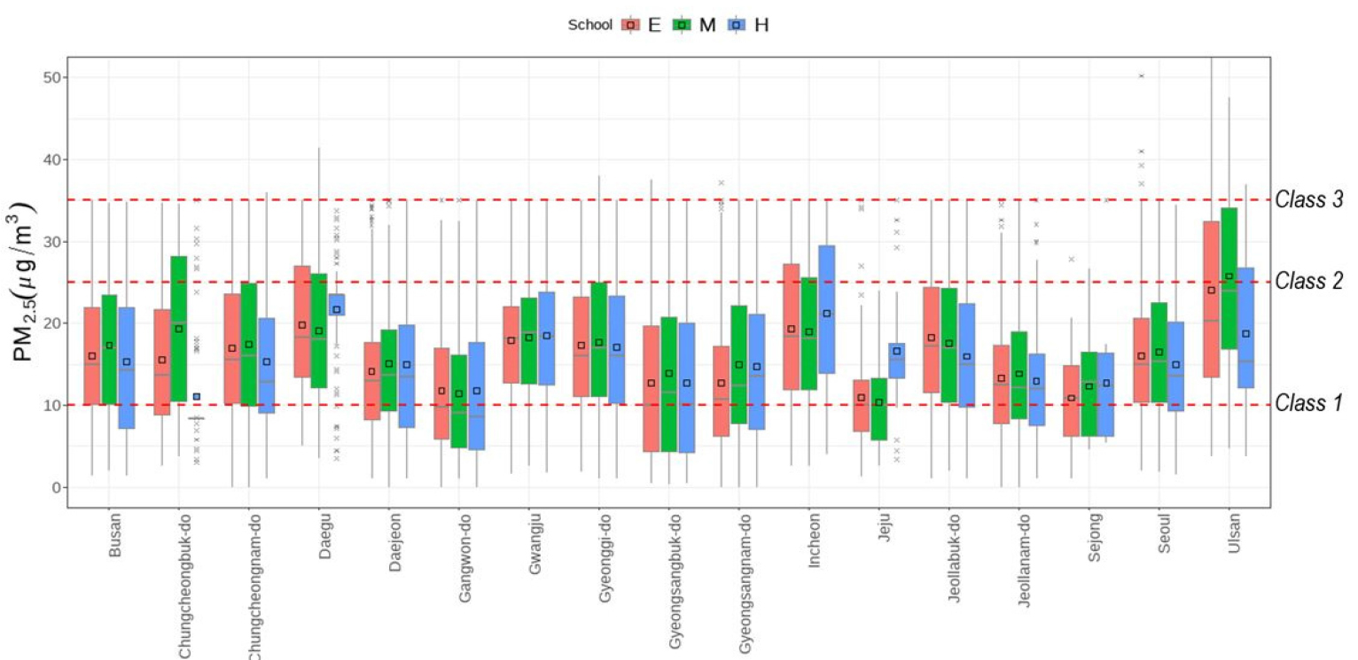
Table 5는 ’19년의 학교 유형별 PM2.5 농도분포를 나타낸다. 전체 학교의 평균 농도는 15.9 ㎍/㎥로 Class 1과 2 사이 수준이며, 중학교의 평균 농도가 16.4 ㎍/㎥로 가장 높았으나, PM10 농도 경향 및 Figure 4의 지역별 분포를 볼 때 학교 유형에 따른 일정한 경향은 없는 것으로 판단된다.
Table 5.
Quantile of PM2.5 concentration by school type
지역 및 학교 유형에 따른 각 학교의 평균 농도분포를 나타낸 Figure 4를 살펴보면, 75% 수준이 Class 2 이하에 위치하는 경우가 대부분이나, 울산광역시의 경우 Class 2와 3 사이에도 다수의 학교가 분포되어 있음을 알 수 있다. 초․중․고 전체 평균 또한 23.3 ㎍/㎥으로 전국 평균보다 약 46.5% 높게 나타났다. 반면, 경상북도, 강원도 학교의 전체 평균은 각각 13.0 ㎍/㎥, 11.7 ㎍/㎥로 울산광역시의 약 50% 수준이며 전국 평균보다 각각 18.2%, 26.4%만큼 낮아, PM10과 마찬가지로 지역별 구분 필요성을 확인할 수 있다.
CO2
CO2는 다른 오염물질 항목과 달리 대기 중에도 큰 변화 없이 일정량이 존재하므로 하한치를 설정하여 오류 데이터를 제외할 필요가 있다. 국내의 대기 중 CO2 연평균 농도가 ’13년부터 400 ppm을 넘어 꾸준히 증가하고 있음을 고려하여, 본 연구에서는 하한치를 400 ppm으로 설정하고 측정치 중 400 ppm 이하의 데이터(47,617개의 데이터 중 2,368개, 약 5%)를 분석에서 제외하였다. Figure 5는 연도별 학교 유형별 CO2 평균 농도를 나타낸 것으로, 대기 중 CO2 연평균 농도의 증가 추세와도 관련성이 있는 것으로 보인다. 초․중․고 전체 평균 또한 696.0, 723.6, 738.2, 742.7 ppm으로 매년 증가하는 추세를 확인할 수 있다. 학교 유형별로는 전체 기간에서 고등학교, 중학교, 초등학교의 순서로 CO2 평균 농도가 높고, 4개년 평균 또한 고등학교 755.4 ppm, 중학교 734.3 ppm, 초등학교 707.2 ppm 순으로 나타나 학교 유형별로 분류할 필요가 있음을 알 수 있다.
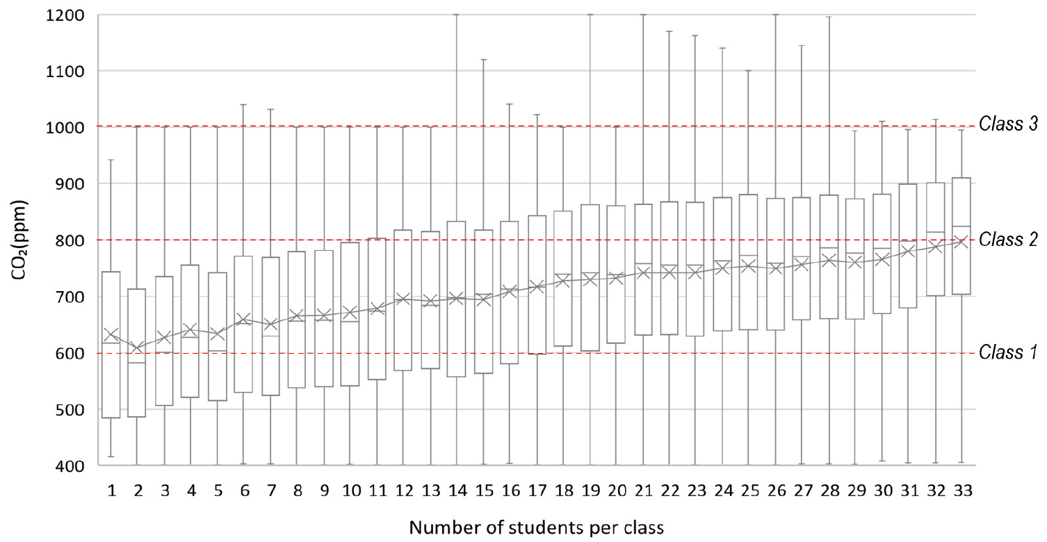
초,중,고의 학급당 학생 수는 각각 17.2명, 21.8명, 22.3명으로 학교 유형별 CO2 평균 농도 경향과 관련성이 있는 것으로 판단되어, 각 학교의 학급당 학생 수에 따른 CO2 농도분포를 분석하였다. Figure 6에 나타난 바와 같이 학급당 학생 수 증가에 따라 CO2 농도가 증가하고, 학급당 학생 수 1~10명, 11~20명, 21명 이상으로 구분할 때 평균 농도가 각각 648.0, 706.9, 751.6 ppm으로 차이가 있어 비교군 설정 시 고려할 만한 요인임을 확인하였다.
폼알데하이드
연도별 학교 유형별 폼알데하이드 농도분포는 Figure 7과 같다. ’16~’19년의 평균 농도는 각각 23.9, 23.6, 25.6, 25.3 ㎍/㎥이고, 약 75%의 학교가 앞서 설정한 절대치 기준 Class 1 이내에 분포하는 것으로 나타났다. 연도별, 학교 유형별 농도분포에 특별한 경향이나 차이는 눈에 띄지 않으며, 건축자재 및 가구류 등이 주요 방출원임을 고려할 때(ME, 2019) 학교의 신축 또는 리모델링 여부에 따른 분석이 요구된다. 전체 학교의 준공년도 및 리모델링 시행 여부 관련 정보 취득에는 한계가 있어, 본 연구에서는 분석 대상 년도 기준으로 설립일이 최근 3년 이내와 이전인 학교로 구분하여 비교하였다. 이는 학교보건법 시행규칙 [별표 4의 2] 공기질 등의 유지․관리기준에서 건축 후 3년을 적용시설 구분 기준으로 설정한 점을 참고한 것이다. Table 6과 같이 최근 3년 이내 신설 학교의 폼알데하이드 평균 농도가 3년 이상 경과된 학교에 비해 높은 것으로 나타나, 비교군 설정 시 고려할 만한 요인임을 알 수 있다.
Table 6.
Comparison of average HCHO concentration by established year
| Established year | HCHO concentration (㎍/㎥) | |||
| 2016 | 2017 | 2018 | 2019 | |
| Established within 3 years | 27.7 | 28.6 | 28.6 | 28.9 |
| Established more than 3 years ago | 23.6 | 23.2 | 25.3 | 25.0 |
총부유세균
총부유세균 평균 농도는 ’19년 데이터 기준 초등학교 377.5 CFU/㎥, 중학교 353.2 CFU/㎥, 고등학교 344.6 CFU/㎥로 상급 학교로 갈수록 낮아지는 경향을 보였다. Table 7에 보는 바와 같이 25% 내외의 학교가 절대치 기준 Class 1에, 50% 내외의 학교가 절대치 기준 Class 2 범위에 해당하는 것으로 나타났다. 총부유세균의 주요 발생원은 에어컨, 가습기, 음식물 쓰레기, 반려동물 등으로(ME, 2019), 학교의 경우 이 중에서 교실 내 음식물 섭취 여부가 학교 유형별 총부유세균 농도 차이를 유발할 가능성이 있다고 판단되어 학교 유형별 교실 배식 비율을 분석하였다. 초등학교 13.2%, 중학교 8.1%, 고등학교 1.4%로 교실 배식 비율이 낮아졌으며, 이는 총부유세균 평균 농도의 경향과 같다. Table 8은 교실 배식 비율이 현저히 낮은 고등학교를 제외한 초, 중학교의 급식 장소별 총부유세균 평균 농도를 나타내는 것으로, 같은 학교 유형에서도 식당 배식과 교실 배식 학교 간에 차이가 있어 상대적 기준치 도출을 위한 비교군 설정 시 고려할 만한 요인인 것으로 판단된다.
Table 7.
Distribution of total airborne bacteria concentration compared to absolute reference
Table 8.
Comparison of average airborne bacteria concentration by dining area type
| School type | Dining room | Dining room+Classroom | Classroom | |||
| N | CFU/㎥ | N | CFU/㎥ | N | CFU/㎥ | |
| Elementary school | 5062 | 367.8 | 822 | 420.2 | 321 | 424.1 |
| Middle school | 2880 | 351.1 | 259 | 368.0 | 55 | 375.1 |
비교군 설정
오염물질별 학교환경위생관리 데이터 분석 결과를 바탕으로 상대적 기준치 도출을 위한 학교 비교군을 설정한 결과는 Table 9와 같다. PM10 및 PM2.5의 경우 연도별, 지역별로 구분함으로써 대기 중 미세먼지 농도의 영향을 반영할 필요가 있으며, CO2는 연도별, 학교 유형별 또는 학급당 학생수별로, 폼알데하이드는 건축년도별로, 총부유세균은 학교 유형별 또는 배식 유형별로 비교군을 설정하는 것이 유효할 것으로 판단된다. Figure 1에 설명된 바와 같이 각 오염물질의 발생원 및 특성을 고려하여 설정된 비교군을 이용하여 평균, 사분위수 등 통계적 대푯값을 도출하고 이를 상대적 기준치로 설정함으로써, 실내공기질 지표의 유효성을 높일 수 있을 것이다.
결 론
본 연구는 학교 실내공기질 지표 도출을 위한 선행연구로써 학교보건법 시행규칙 공기질 등의 유지·관리기준의 오염물질 항목 중 일반교사 및 급식 시설에 적용되는 PM10, PM2.5, CO2, 폼알데하이드, 총부유세균 등 5개 항목을 대상으로 절대적 기준치 및 상대적 기준치 설정 방안을 도출하였다. 실내공기질 관련 국내외 법규, 가이드라인, 인증제도, 실내환경 지표 등에 규정된 오염물질 농도 기준치를 조사․분석하였으며, 미세먼지에 취약한 어린이와 청소년이 사용하는 학교 교실의 특수성을 고려하여 Table 3과 같이 오염물질별로 3개 등급의 절대적 기준치를 설정하였다. 또한 교육부 학교알리미 사이트를 통해 제공되는 학교기본정보, 학년별․학급별 학생수, 환경위생관리 현황, 급식 현황 등의 데이터를 활용하여 오염물질별 분포 특성을 분석하고, 상대적 기준치 설정을 위한 적정 비교군을 도출하였다. PM10 및 PM2.5의 경우 연도별, 지역별로 구분함으로써 대기 중 미세먼지 농도의 영향을 반영할 필요가 있으며, CO2는 연도별, 학교 유형별 또는 학급당 학생수별로, 폼알데하이드는 건축년도별로, 총부유세균은 학교 유형별 또는 배식 유형별로 비교군을 설정하는 것이 유효한 것으로 파악되었다. 본 연구에서는 학교 미세먼지 관리 행정 측면 등을 고려하여 17개 지자체로 지역을 구분하여 분석하였으나, 미세먼지 연평균 농도, 미세먼지 경보 및 주의보 발령 횟수 등 행정구역별 대기오염도를 고려하여 상대적 비교군을 더 정교할 필요가 있을 것으로 판단된다. 향후 연구에서는 본 연구를 통해 도출된 절대적 기준치 및 상대적 기준치를 이용하여 학교 실내공기질 개선 관련 의사결정 및 개선방안 도출에 활용될 수 있는 학교 실내공기질 지표를 개발하고, 실제 학교 현장의 실측 및 학교 특성 분석을 통해 이를 검증하고자 한다.









