서 론
연구배경 및 목적
연구동향
국내 교실 조명환경의 기준
조사 방법
강의실 수평면 조도 측정
강의실 조명 운영 실태조사
설문조사
결과 및 고찰
자연채광의 조도 측정
인공조명의 조도 측정
강의실 조명 운영에 관한 실태조사
설문조사
결 론
서 론
연구배경 및 목적
강의실 조명은 학습자의 시각적 집중, 피로도, 만족도 등에 직·간접적으로 영향을 미치며, 학습 환경의 질을 결정짓는 중요한 요소 중 하나이다. 이에 따라 조명 계획 시 「KS A 3011」 등의 기준에 제시된 책상면 조도를 충족시키는 것을 일반적인 설계 기준으로 삼고 있으나, 조도 기준을 만족한다고 해서 곧바로 학습자의 시각적 쾌적성이 확보되는 것은 아니다.
실제로 학습자는 교실의 국소적인 조도보다 전체적인 밝기나 균형감을 통해 조명환경의 쾌적성을 체감하는 경향이 있으며, 책상면 조도의 기준 충족만으로는 시각적 만족을 설명하기 어렵다는 한계가 존재한다. 그러나 현재까지의 조명환경 연구는 대부분 초·중등학교를 대상으로 하고 있으며, 특히 대학교 강의실에서의 조명 실태와 사용자의 주관적 인식 간의 관계를 종합적으로 분석한 연구는 매우 드문 실정이다. 또한 국내 학교 시설은 초·중등학교, 대학교를 막론하고 조명 관련 기준이 조도 수치 중심으로만 제시되어 있으며, 실질적인 조명환경의 질을 종합적으로 평가하거나 관리할 수 있는 기준은 미흡하다.
이에 본 연구는 국내 대학교 강의실을 대상으로 에너지 효율성과 시각적 쾌적성이라는 두 가지 목표를 함께 달성할 수 있는 조명환경 개선 방향을 제안하는 것이 본 연구의 목적이다. 한편, 본 연구는 단일 대학의 강의실과 34명의 학부생을 대상으로 수행되어 일반화에 한계가 있다. 그러나 이러한 제약에도 불구하고 대학 강의실 조명환경의 기초 자료를 제시하였다는 점에서 의의가 있다.
연구동향
Kim (2009a)은 교실에 설치된 디밍 제어 형광등 시스템의 실내 조도 특성과 에너지 성능을 분석하였다. Baik and Kim (2012)은 컴퓨터 시뮬레이션을 통해 조광제어 시스템의 효과를 분석하였다. Shin and Jang (2009)은 서울시 고등학교 교실을 대상으로 전반조명 9등과 칠판용 국부조명 2등을 설치하는 방식이 가장 현실적이며 안정적인 조도 확보에 효과적인 것으로 제시하였다. Park and Kim (2002)은 초등학교 교실을 대상으로 청천공과 담천공 조건에서 조도를 실측하고 교실의 빛환경을 평가하였다. Kim and Lee (2006)은 초등학교 건물에 적용 가능한 광선반의 형태와 적정위치와 크기를 알아보았다. Kim and Lee (2006), Lim et al. (2008), Kim (2009b)은 초등학교 교실의 자연채광과 외부요소(차양장치 등)를 고려한 개선방안을 제안하였다. Kim (2021)은 초등학교 교실을 대상으로 실내 조도를 측정하고, 조명 만족도를 조사하였다. 한편, Kim et al. (2009)은 빔프로젝터를 사용하는 대학 강의실을 대상으로 강의실내 평균조도와 스크린의 조도를 측정하여 기준에 따른 조명의 질을 평가하고, 사용자의 쾌적성에 대한 설문조사를 실시하였다.
이상의 연구들은 대부분이 초등학교 교실을 대상으로 하고 있으며, 조광제어, 자연채광 활용, 조도 개선 등의 방법을 통해 조명 에너지 절감을 모색한 것으로, 조명환경의 질적 측면보다는 조도 기준 충족과 같은 양적 요소에 보다 초점을 두고 있다. 대학교 강의실은 규모와 학습 방식, 디지털 매체 활용, 성인 학습자의 특성에서 초·중등학교와 차별되므로, 독자적인 조명환경 연구가 필요하다.
본 연구는 대학교 강의실을 대상으로, 기존의 조명환경 실태조사가 주로 설계된 조명시스템의 조도 측정과 사용자 만족도 평가에 그쳤던 반면, 본 연구는 실제 수업 중 사용자가 어떻게 조명을 활용하고 있는지를 중심으로 실태조사를 실시함으로써, 조명의 계획과 실제 사용 간의 간극을 파악하고자 하였다. 또한, 기준조도 충족 여부를 통해 조명의 에너지 성능을 분석하는 동시에, 교실의 밝기와 수업 방식에 대한 만족도를 함께 평가함으로써 시각적 쾌적성 측면까지 다루고 있다는 점에서 차별성을 갖는다.
국내 교실 조명환경의 기준
국내 초·중·고등학교 등 학교 시설의 조도 기준은 「학교보건법 시행규칙」을 근거로 하며, KS A 3011을 참고하여 설정된다. 반면, 대학교 강의실의 경우 별도의 보건법 적용은 받지 않지만, 일반적으로 KS A 3011의 기준을 준용하며 학교 교실의 경우, 최저 조도는 300 lx, 표준 기준조도는 400 lx, 최고 조도는 600 lx로 권장된다.
주광률은 절대 조도와 달리 시간이나 기후 조건, 계절 변화에 영향을 받지 않기 때문에객관적이고 일관된 자연채광 성능 평가가 가능하다. 이러한 특성으로 인해 실내 자연채광 평가에 있어서 주광률은 조도값보다 더욱 널리 사용된다. 현재 우리나라에는 주광률에 대한 명확한 법적 기준이나 고시가 존재하지 않으며, 자연채광 성능을 정량적으로 평가하거나 설계 기준으로 제시하는 경우는 드물다. 일본 건축학회(Architectural Institute of Japan, 1985)는 용도별 공간에 적절한 주광률 기준을 제안하고 있으며 일반 교실은 1.5%의 주광률을 권장한다. 이러한 기준은 국내 교실 환경에 적용 가능한 주광 성능 목표를 설정하는 데 참고할 수 있다.
사무실이나 교실 등과 같이 실내의 어느 위치에서도 같은 작업이 이루어지는 경우, 그 작업환경을 동등하게 하기 위하여 조도분포도 균일하게 할 필요가 있다. 균제도는 최소조도 대비 최대조도의 비로 나타내며, 균제도는 1.0에 가까울수록 좋지만, 권장치는 인공조명의 경우는 0.3 이상이, 측창 채광의 경우는 0.1이상이 바람직하며 주광과 인공조명을 병용했을 경우에는 0.14 이상이 요구된다(Chung et al., 2008).
조사 방법
강의실 수평면 조도 측정
조사 대상 강의실은 강의가 이루어지고 있는 A대학의 강의실 중 북향을 제외한 25개소(A~Z)이다. 자연채광 조건과 자연채광+인공조명 조건에서 조도를 측정하였으며, 측정 당시 창문의 블라인드는 모두 개방하였다.
조도 측정은 창으로부터 1.0 m 이상 이격된 지점에서 시작하여 16점법(4×4 Grid)을 적용하였다. 강의실의 가로와 세로를 각각 4등분한 뒤, 각 분할 면의 중심 교차점을 측정 위치로 선정하여 총 16개 지점에서 조도를 측정하였다. 모든 측정은 학생들의 시각 활동이 이루어지는 책상면 높이(바닥에서 85 cm)에서 수행되었으며, 측정 기자재로는 TES–1336A(실내 조도)와 T-10A(실외 전천공조도)를 사용하였다.
강의실 조명 운영 실태조사
강의실 조명 운영 실태조사는 4명의 조사원이 실제 수업이 진행 중인 39개 강의실을 방문하여 자연채광과 인공조명의 운영 실태를 직접 조사하였다. 주요 조사 항목은 빔프로젝터 사용 여부, 수업중 인공조명의 사용실태, 창문 블라인드 사용 현황 등으로 구성되었다. 블라인드 사용 현황은 블라인드의 사용 면적 정도에 따라 ‘블라인드를 완전 닫아 자연광 차단’, ‘부분적으로 차광’, ‘자연광 유입’의 세 범주로 구분하여 조사하였으며, 인공조명 사용 실태는 각 강의실에 설치된 조명기구의 총 개수 대비 실제 점등된 조명의 수를 조사하여 산정하였다. 이를 통해 조도 기준에 기반한 계획 조명 환경과 실제 수업 환경에서의 조명 운용 방식 간의 차이를 파악하고, 자연채광과 인공조명이 수업 중 어떤 방식으로 병행되거나 선택적으로 사용되는지를 분석하였다.
설문조사
설문조사가 이루어진 강의실은 복도측에서 창측 방향으로 4열의 조명기구가 설치되어 있으며, 각 열은 개별 스위치를 통해 ON/OFF 제어가 가능하도록 구성되어 있다. 본 조사는 해당 강의실을 이용한 경험이 있는 학부생 34명을 대상으로 연구 참여 동의를 얻은 후 진행되었으며, 연구윤리 준수를 위해 기관생명윤리위원회(IRB)의 심의를 거쳐 승인(승인번호: GIRB-A25-NW-0095)을 받았다.
설문조사는 수업시간에 일반적으로 조성되는 강의실의 조명환경을 반영하여 Table 1과 같이 총 6개의 조건에서 진행되었다. 조건 I은 인공조명을 사용하지 않고 블라인드를 모두 개방하여 자연채광만을 활용한 상태, 조건 II는 1~3열의 인공조명을 점등하고 블라인드를 모두 개방한 상태, 조건 III은 인공조명을 사용하지 않고 블라인드를 모두 차폐한 상태, 조건 Ⅳ는 1~2열의 인공조명을 점등하고 블라인드를 모두 개방한 상태, 조건 Ⅴ는 1열의 인공조명만 점등하고 블라인드를 모두 개방한 상태, 조건 Ⅵ는 1~4열의 모든 인공조명을 점등하고 블라인드를 모두 개방한 상태이다.
각 조건에서 측정한 수평면 평균 조도는 조건 I이 93 lx, 조건 II가 891 lx, 조건 III이 16 lx, 조건 Ⅳ가 629.8 lx, 조건Ⅴ가 341.8 lx, 조건 Ⅵ가 1157.2 lx로 나타났다.
Table 1.
Six Lighting Conditions for the Survey
| condition | Artificial | Blind | avg. illuminance |
| I | off | open | 93.0 lx |
| II | Rows 1~3 ON | open | 891.0 lx |
| III | off | closed | 16.0 lx |
| Ⅳ | Rows 1~2 ON | open | 629.8 lx |
| Ⅴ | Rows 1 ON | open | 341.8 lx |
| Ⅵ | Rows 1~4 ON | open | 1157.2 lx |
설문 내용은 Table 2에 나타낸 바와 같이 강의실의 전체적인 밝기와 전자기기, 교재, 빔 프로젝트 스크린의 가독성, 교재와 판서를 중심으로 진행되는 전통적 형태의 수업(교재 중심 강의라 함)과 빔프로젝트 수업(프로젝션 강의라 함)을 위한 강의실의 빛환경 만족도 그리고 눈부심 발생과 위치로 이루어졌다. Q1~Q6은 5점 척도로 응답하였다.
Table 2.
Survey Questionnaire Items
결과 및 고찰
자연채광의 조도 측정
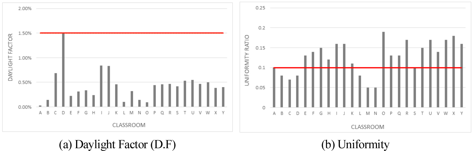
주간에 블라인드는 전부 오픈한 상태로 자연채광만에 의한 강의실 조도를 측정하여 결과를 Table 3에 나타내고, 주광률과 균제도를 정리하여 Figure 1에 나타내었다. 실내조도 측정당시 전천공조도는 80,000 lx ~ 85,000 lx로 측정되었다.
자연채광에 의한 조사 대상 전체 25개 강의실의 평균 조도는 346.63 lx로 나타났고, 평균 주광률은 0.43%로 나타났다. 이는 교실 환경에서 일반적으로 권장되는 기준 주광률 1.5%에 비해 상당히 낮은 수치이다. Figure 1(a)을 보면 전체 강의실 중 주광율 기준치 1.5%에 근접한 강의실은 D강의실 1개소에 불과하고, 대부분이 1% 미만의 낮은 수준을 보였다. 특히 0.5% 이하의 주광률을 기록한 강의실이 전체의 약 72%를 차지하여, 자연채광이 대부분의 강의실에서 충분히 확보되지 못하고 있음을 알 수 있다.
사무실이나 교실과 같이 어느 위치에서나 동일한 작업이 이루어지는 장소에서는 균제도가 1.0에 가까울수록 바람직하지만, 편측채광의 경우 균제도 기준이 상대적으로 완화된 0.1 이상을 권장하고 있다. 조사 대상 25개 강의실의 균제도 분석 결과, 평균 균제도는 0.13으로 나타났으며 Figure 1(b)에서 보여지는 바와 같이 19개소(약 76%)는 편측채광 환경에서 권장되는 기준값인 0.1을 충족하였다.
인공조명의 조도 측정
창문의 블라인드를 완전히 개방한 상태에서 강의실 천장에 설치된 모든 인공조명(1열~4열)을 점등한 복합광 조건에서의 조도를 측정하였다. 이후 복합광 조건의 조도값에서 자연채광 조건의 조도값을 감산하여 인공조명에 의한 조도값을 산출하였다(Table 3).
자연채광의 영향을 완전히 배제한 상태에서 인공조명만에 의한 조사대상 전체 강의실의 평균 조도는 836.83 lx로 나타났다. Figure 2를 보면, KS A 3011 교실 상한 기준 조도를 초과하는 강의실이 18개소(72%)에 달했다. 특히, 이 중 13개소(52%)는 1,000 lx 이상으로 나타나 인공조명에 의한 고조도 환경이 조성되고 있었다.
이 결과는 자연채광의 한계를 인공조명으로 보완하려는 운영 방식이 오히려 과잉 조도를 유발할 가능성을 내포하고 있음을 시사한다. 이는 불필요한 에너지 소비로 직결되므로 자연채광과 인공조명 간의 균형 있는 운용 전략이 요구된다.
Table 3.
Results of Horizontal Illuminance Measurements in 25 Classrooms
다음으로, 인공조명만으로 형성된 조명의 균제도를 분석한 결과, 평균 균제도는 0.80으로 나타나 인공조명에 의한 기준 균제도 값인 0.3을 상회하며, 거의 1.0에 근접하였다. 이는 강의실 내 인공조명이 매우 균일하게 분포되어 있음을 의미하며, 과도한 인공조명의 설치가 균제도에 긍정적인 영향을 준 것으로 보인다.
따라서 향후 강의실 조명환경 개선을 위해서는 실시간 조도 모니터링, 자동 감광 제어, 구역별 점등 기능을 갖춘 스마트 조명 시스템을 도입하면, 과도한 인공조명 사용을 방지하면서도 학습에 필요한 시각 환경을 안정적으로 유지할 수 있다. 실제로 Kim (2009a)의 연구에서도 조광용 형광등을 활용할 경우 평균 약 40%의 조명 에너지를 절감할 수 있다고 보고된 바 있으며, 이러한 기술적 접근은 에너지 효율성과 학습환경의 질적 향상을 동시에 달성하는 효과적인 방안이 될 수 있다.
강의실 조명 운영에 관한 실태조사
실제 강의 시간에 강의실의 자연채광과 인공조명이 사용자에 의해 어떻게 운영되는지를 파악하기 위해, 수업이 진행 중인 39개 강의실을 대상으로 블라인드와 조명기구의 운영 실태를 조사하였다. 조사 결과, 38개 강의실에서 빔프로젝터를 활용한 수업이 이루어지고 있었으며, 학생들의 전자기기 사용 비율 또한 높은 것으로 나타났다. 이는 대학 강의 환경이 전통적인 교재 기반의 시각 환경에서 디지털 중심의 시각 환경으로 전환되고 있음을 보여주며, 이러한 변화는 강의실 조명 환경의 개선과 새로운 설계 방향을 요구한다.
Figure 3에 수업 중 창문 블라인드의 사용 현황과 조명기구의 사용 현황을 나타내었다. Figure 3(a)에서 블라인드를 완전히 닫아 자연광을 차단한 강의실은 17개소(44%)였으며, 부분적으로 차광한 경우는 8개소(20%), 블라인드를 사용하지 않아 자연광이 그대로 유입된 강의실은 14개소(36%)로 나타났다. 이처럼, 전체 강의실의 64%에서 자연채광의 유입이 일정 부분 제한되고 있었다. 이와 같은 높은 블라인드 사용률은 자연광으로 인한 눈부심 또는 빔프로젝터 스크린의 가독성 저하를 방지하기 위한 것으로 해석된다. 그러나 과도한 차광은 자연채광의 잠재적 활용을 제한하고 인공조명에 대한 의존도를 높이는 요인이 된다. 이는 결과적으로 에너지 사용측면에서 비효율적이며, 실내 조명환경의 전반적인 쾌적성에도 영향을 줄 수 있다. Figure 3(b)에서 전체 천장 조명기구 중 75% 이상을 점등한 강의실이 22개소(56%)였으며, 50~75%를 점등한 강의실은 13개소(33%)로 나타났다. 이로써 전체 조사 대상 강의실의 86%가 천장에 설치된 조명기구의 50% 이상 점등하고 수업을 진행하고 있는 것으로 확인되었다. 이러한 결과는 앞서 언급한 바와 같이 블라인드 사용으로 자연채광 유입이 제한됨에 따라 인공조명에 대한 의존도가 높아졌음을 시사한다.
한편, 조명기구의 약 50%만 점등한 경우의 조도 수준을 파악하기 위해, 자연채광 유입이 없는 야간 시간대에 강의실 A와 B에서 천장 조명기구의 50%만(1열과 3열 점등) 점등하고 조도를 측정한 결과, 각 실의 평균조도는 607 lx, 525 lx로 나타났다. 이는 KS A 3011에서 제시한 교실의 기준 조도 범위를 상회하는 수준으로, 실제 수업 환경에서 필요 이상의 조도가 제공될 수 있으며 이로 인해 불필요한 에너지 소비가 발생할 가능성이 있음을 시사한다.
블라인드 사용의 주된 목적은 자연광으로 인한 창문의 눈부심 방지와 빔프로젝터 스크린의 시인성 확보에 있었지만, 이로 인해 자연채광이 충분히 활용되지 못해 인공조명 의존도가 높아지고, 결과적으로 에너지 낭비와 시각적 피로 등의 문제가 발생할 수 있다.
따라서 향후 강의실 조명계획은 수업 유형과 공간 특성을 반영하여 자연광과 인공조명이 상호 보완되도록 설계되어야 한다. 이를 위해 반투명 블라인드나 조도 연동형 스마트 조명 시스템의 도입이 효과적인 대안이 될 수 있다.
설문조사
설문조사 결과는 Table 4에 제시하였다. 가독성 평가에서 교재는 조도가 높을수록 가독성이 향상된 반면, 빔프로젝터 스크린은 조도가 낮을수록 더 높은 가독성이 보고되었다. 전자기기의 경우 통계적으로 유의한 차이는 나타나지 않았으나, 가장 높은 조도 조건(Ⅵ)에서 상대적으로 낮은 평가를 받았다. 이러한 결과는 강의실 내에서 수행되는 다양한 학습 활동의 특성을 반영하여 조도를 적절히 제어할 필요성을 시사하며, 특히 조도의 유연한 제어가 가능한 스마트 조명 시스템의 도입이 학습 환경 개선에 효과적일 수 있음을 보여준다. 특히, 교재의 가독성 평가에서 평균조도가 16.0 lx에서는 2.2점, 93.0 lx에서는 3.4점으로 낮은 조도에서는 충분히 확보되지 못했으나, 341.8 lx에서 4점으로 평가되어 교재 가독성이 보장되는 최소 수준에 도달하였다. 이후 620.8 lx에서 4.2점, 891.0 lx에서 4.9점, 1157.2 lx에서 5점 만점으로 나타나, 600 lx 이상에서는 안정적이고 쾌적한 가독성이 확보됨을 확인할 수 있었다. 이러한 결과는 교재 가독성 확보를 위한 최소 조건이 약 340 lx 이상이며, 600 lx 이상에서 안정적인 시각 환경이 제공된다는 점에서 KS A 3011 교실 조도 기준과 일치한다. 다만, KS A 3011 기준은 책상면에서의 교재 가독성을 보장하기 위한 조도 수준을 제시한 것으로, 공간 전체의 밝기감이나 쾌적성 평가 기준과는 구별될 필요가 있다고 판단된다.
이와 관련하여, 강의실의 전체적인 밝기감 평가에 대한 결과 Figure 4를 보면 평균조도가 891lx, 1157.2 lx에서는 응답자의 100%가 밝다, 매우 밝다에 응답하였다. 기준조도 상한치, 600 lx를 충족하는 조건Ⅳ에서는 응답자의 59%가 밝다고 평가하였으며 기준조도 하한치인 300 lx를 충족하는 조건Ⅴ에서는 응답자의 18%만이 밝다고 평가하였다. 이는 책상면의 조도값이 기준 조도를 충족하더라도, 벽면이나 천장 등 주변면의 조도가 낮을 경우 공간 전체는 충분히 밝지 않게 느껴질 수 있음을 알 수 있었다. 이는 시야 전반에 걸쳐 고르게 분포된 빛이 시각적 밝기감과 직결되기 때문이다. 예를 들어, 벽면의 반사율이 낮거나 조명이 협각(spot) 형태일 경우, 작업면 조도는 충분하더라도 전체 공간은 어둡게 느껴질 수 있다. 따라서 향후 조명 설계 및 개선 시에는 책상면 조도뿐만 아니라 전체 공간의 밝기 균형, 반사 특성, 자연채광의 분포 등 시지각 전반을 고려한 종합적 접근이 필요하다.
Figure 5(a)의 교재 중심 강의에 대한 만족도 평가에서는 조도가 높아질수록 만족도가 높아짐을 알 수 있고, 평균조도 891 lx와 1157.2 lx에서 응답자의 80% 이상이 만족하고 있는 것으로 나타났으나, 기준조도를 충족하는 조건Ⅳ와 Ⅴ에서는 응답자의 만족도가 80% 이하로 나타났다. Figure 5(b)의 프로젝션 강의에 대한 만족도 평가에서는 조도가 낮아질수록 만족도가 높아지는 경향이 보였으며, 조건Ⅰ(93 lx)에서 응답자 97%가 만족하는 것을 나타났는데 이 조건은 블라인드를 개방한 상태에서 인공조명을 모두 소등한 상태이다. 다음으로 응답자 만족율 79%의 조건Ⅴ(341.8 lx)로 나타났다.
눈부심 발생률은 조건 Ⅵ(83.3%), Ⅱ(70.6%), Ⅲ(64%)에서 가장 높게 나타났다. 조건 Ⅵ과 Ⅱ에서는 천장에 설치된 인공조명의 점등으로 인한 천장면의 눈부심이 주요 원인이었으며, 조건 Ⅲ에서는 빔프로젝터 스크린의 높은 휘도가 주요 요인으로 확인되었다. 이는 블라인드를 완전히 내리고 인공조명을 소등하여 강의실 내 전반적인 조도가 낮아진 상태에서 스크린 휘도가 상대적으로 두드러지게 지각되었기 때문으로 해석된다.
종합하면, 본 연구 결과는 과도한 천장조명과 스크린 반사광으로 인해 시야 내 불쾌한 명암 대비가 증가함을 보여주며, 단순히 조도의 절대적 수준을 확보하는 것을 넘어 광원의 배치와 스크린 반사 환경을 함께 고려한 시각적 쾌적성 확보가 필요함을 시사한다.
Table 4.
Survey Results under Six Lighting Conditions
결 론
본 연구는 국내 대학교 강의실을 대상으로 자연채광과 인공조명에 의한 조도를 실측하고, 실제 수업 중 조명기구 및 블라인드 운영 실태와 학습자의 강의실 조명환경에 대한 주관적 인식을 종합적으로 분석하였다. 주요 연구 결과는 다음과 같다.
첫째, 자연채광의 절대적 부족과 인공조명에 의한 과도한 조도가 확인되었다. 조사 대상 강의실의 평균 주광률은 0.43%로, 일반적으로 권장되는 1.5%에 크게 미치지 못하였고, 인공조명에 의한 평균 조도는 836.83 lx로, KS A 3011 교실 상한 조도인 600 lx를 크게 초과하였다. 이와 같은 과도한 조도는 눈부심과 시각적 피로를 유발할 가능성이 높고, 불필요한 에너지 소비와 학습환경의 비효율성으로 이어질 수 있다. 따라서 낮 시간대에는 자연채광과 인공조명을 균형 있게 운용할 필요가 있으며, 스마트 조명 시스템 도입은 에너지 절감과 시각적 쾌적성 확보에 효과적인 대안이 될 수 있다.
둘째, 실제 수업중인 강의실의 조명 운영을 조사한 결과, 조사 대상 강의실 64%에서 블라인드를 사용하여 자연채광을 차단하고 있었으며, 86%가 인공조명의 50% 이상을 점등한 상태에서 수업이 진행되고 있었다. 이는 빔프로젝트 수업을 위해 블라인드를 사용하고, 이로 인해 어두워진 실내 밝기를 인공조명으로 보완하는 운영 방식으로, 결과적으로 교재 강의와 프로젝션 강의 모두에 적합하지 않은 조명환경을 초래하고 있었다. 이러한 문제는 강의실 조명 및 창호 운영에 대한 체계적 기준의 부재에서 기인한 구조적 한계로 해석되며, 향후 조명계획은 수업 유형과 공간 특성을 반영되도록 설계·운영될 필요가 있다. 특히 반투명 블라인드나 스마트 조명 시스템의 도입은 자연채광 활용도를 높이는 동시에 에너지 절감과 시각적 쾌적성을 함께 달성할 수 있는 효과적인 대안이 될 것이다.
셋째, 교재 가독성을 확보하기 위한 최소 조건은 약 340 lx 이상이었으며, 600 lx 이상에서 안정적인 시작업 환경이 제공되는 것으로 나타나 KS A 3011 교실 조도 기준과 대체로 일치하였다. 그러나 밝기감 평가에서는 341.8 lx와 620.8 lx 조건에서 밝기감이 ‘보통’으로 평가되었고, 891 lx 이상에서야 ‘밝다’고 평가되었다. 이는 수평면 조도가 기준을 충족하더라도 곧바로 강의실의 시각적 쾌적성을 보장하지 않는다는 점을 보여준다. 다시 말해, 교재 가독성은 책상면 조도를 통해 일정 부분 확보될 수 있으나, 실내 전체의 밝기감은 수평면 조도만으로 설명되지 않으며, 벽·천장의 반사율이나 빛의 분포와 같은 시각적 요인들이 함께 고려되어야 한다.
수평면 작업조도의 기준 충족에 초점을 맞춘 기존의 정량적인 강의실 조명계획은 디지털화된 수업환경 특성과 학습자의 시각적 요구를 충분히 반영하지 못하고 있다. 디지털 매체 활용이 증가하는 현대의 강의실에서는 빔프로젝터, 노트북 등 전자기기의 화면 시인성 확보를 위한 조도 제어가 요구되며, 동시에 자연채광과 인공조명의 조화로운 운용이 필요하다. 이러한 환경 변화 속에서 조명계획은 단순히 기준 조도 충족을 넘어서, 수업 유형과 학습 활동의 특성, 자연광 조건 등을 종합적으로 고려하여 사용자의 시각적 요구를 반영한 설계로 전환되어야 한다. 향후 연구에서는 다양한 대학의 규모와 유형별 강의실, 그리고 수업방식의 차이에 따른 비교 분석과, 조명환경 개선안을 실험적으로 적용하여 그 효과를 검증하는 연구가 필요하다.







