서 론
연구의 배경 및 목적
연구의 방법 및 절차
결로 평가방법 고찰
표면결로 개념
내부결로 개념
결로 선행연구 고찰
내부결로 평가방법
ISO 13788
EN 15026
입력인자 및 해석방법 비교
기준에 따른 내부결로 평가 결과 및 비교
해석방법 개요
성능평가 환경설정
성능평가 방법
성능평가 결과 및 비교
ISO 13788의 인자만을 고려한 비정상 조건에 따른 성능평가 결과
EN 15026에 따른 성능평가 결과
성능평가 결과 비교
결 론
서 론
연구의 배경 및 목적
과거 결로 발생은 단열재의 단열성능 부족 및 누락 등이 주 원인이었지만, 최근에는 에너지 저감에 관심이 높아짐에 따라 고단열, 고기밀화, 친환경 자재를 사용함으로 내외부 수증기압 차가 증가됨으로 인한 결로발생 위험이 커지고 있다. 국토교통부 하자심사․분쟁조정위원회사무국에 따르면 2010~2015년까지 접수된 결로 하자심사 누적건수는 8,859건으로 매년 증가추이를 보이고 있으며, 전체 하자에 대비하여 결로 하자의 비율은 약 14%를 차지하고 있다. 또한, 소비자보호원에 접수된 아파트 하자 보수 관련 신고 건수를 분석한 결과는 결로와 관련된 사항이 전체의 11%를 차지하고 있는 것으로 조사되었다. 결로의 종류는 발생 부위에 따라 구조체의 표면온도(실내측)와 실내공기 온도(노점온도)의 차이로 인하여 발생하는 표면결로와 구조체 내부에 습기가 침투되어 발생하는 내부결로로 나뉜다.
결로에 대한 국내 기준은 ‘공동주택 결로 방지 설계기준’에 표기 되어 있지만, 열전달을 근거로 온도구배에 의한 노점온도 평가방법을 통해 도출된 표면결로 해석만을 고려한다3). 그러나 건물의 전체적인 단열, 기밀 성능의 관점에서 고려하면 내부결로는 단열재 성능 저하, 구조체 열화 및 동계 결로수의 고드름 형성으로 인한 안전사고 발생 가능성 등 많은 문제를 유발할 수 있음으로 반드시 고려되어야 한다.
국내 내부결로에 관련된 선행연구는 ‘외기에 면한 아파트 발코니 천정 내부결로 예측(2003)’, ‘커튼월 시스템 벽체부의 단열재 실내측 마감재 파손 여부에 따른 결로 평가 및 내부결로 방지를 위한 효과적 마감재에 관한 연구(2006)’ 등의 연구가 이루어져 있으나, 노점온도 평가법을 통한 해석으로 습기거동 및 액체전달(모세관현상)을 고려한 연구는 미비한 실정이다.
이에 본 연구는 국내․외 내부결로 평가방법을 고찰하고, 내부결로 평가 인자에 따른 항목을 비교 분석한다. 이 후, 해석모델을 선정하여 고찰된 인자를 바탕으로 모델을 각 평가방법에 따라 해석 및 비교함으로써 국내 내부결로 평가방법 개선 방안에 기여하고자 한다.
연구의 방법 및 절차
본 연구는 국내외 결로 평가방법 고찰을 통하여 평가방법에 따른 평가식의 인자를 비교하였으며, 고찰 된 내용을 바탕으로 모델을 해석하고 모델 해석의 결과분석을 통해 국내 내부결로 평가방법 개선의 필요성을 제시하였다. 연구 절차는 Figure 1과 같다.
첫 번째, 문헌고찰을 통해 표면결로 및 내부결로 발생 개념에 대해 고찰하며, 국내 결로 해석에 대한 선행 연구를 고찰한다. 두 번째, 국외 결로 평가 방법에 따른 평가조건 및 해석 식 고찰을 통해 평가 인자를 비교한다. 세 번째, 모델을 선정하고, 고찰된 평가방법을 통해 해석결과를 비교분석한다.
결로 평가방법 고찰
표면결로 개념
결로현상은 습공기가 온도가 낮은 구조체의 표면과 닿으면 공기 중에 함유된 수분이 응축되어 표면에 이슬이 맺히는 현상이다. 표면결로는 Figure 2와 같이 건축물의 표면온도(tsi)가 접촉하고 있는 공기의 노점온도(tdp)보다 낮을 때 발생되며, 천장, 벽, 바닥 등 구조체 표면에 발생한다. 표면결로로 인해 구조체의 변색 및 부식이 발생되며, 표면결로의 방지 방법은 표면온도를 실내공기의 노점온도 이상으로 상승시키거나, 실내의 절대습도를 내려 노점온도를 내리는 방법이 있다.
내부결로 개념
수증기 확산에 의한 내부결로는 동절기에 실내외 온도차와 습기 거동에 의해 주로 발생되며, 습기 구배는 Figure 3과 같다. 구조체 내의 수증기압이 포화수증기압 보다 높게 되면 구조체 내에서 수증기가 응결하게 되며, 이에 따라 내부결로가 발생된다.
Figure 4는 또 하나의 내부결로 발생원인인 액체전달(모세관현상)에 의한 방출 및 흡습에 대한 것으로, 방출 현상은 구조체 내부 양압 발생으로 인한 구조체 외부로의 액체방출을 의미한다. 액체 방출 속도는 공극 면적에 비례하여 결정된다. 흡습 현상은 외부 조건(습기, 강수)에 따라 외부가 고압이 되어 내부 측 저압으로 인하여 구조체 내부에 액체가 흡습되는 현상을 말한다. 즉, 액체의 방출 및 흡습 현상에 따라 구조체 내부 건조 및 함습의 정도에 영향을 미친다.
결로 선행연구 고찰
결로에 관련한 선행연구는 Table 1과 같이 건축물 용도에 따른 결로 방지 설계를 위한 기준 및 기법에 관한 연구가 주로 진행 되고 있다. 하지만, 수증기확산 및 노점온도를 고려한 연구만 진행되고 있으며, 모세관 현상을 통한 액체전달을 고려한 내부결로 연구는 부재하였다. 따라서 본 연구를 통해 수증기 확산만을 고려한 평가방법과 수증기 확산과 함께 모세관 현상을 통한 액체전달을 고려한 내부결로 평가방법 차이점을 고찰한다.
내부결로 평가방법
ISO 13788
국제 표준화 기구에서 제시한 ISO 13788 표준은 재료 물성, 초기 조건, 경제 조건에 대한 이론들을 바탕으로 표면결로 및 내부결로에 대한 평가 방법을 제시하고 있다.
ISO 13788에서 제시하는 인자의 실외조건은 습도, 수증기압, 지중온도, 실외온도, 지면의 습도 조건을 고려하며, 월평균을 기반으로 적용한다. 지면의 습도조건은 상대습도 1로 가정되며, 실외 습도 값은 체적당습도 혹은 수증기압를 사용하여 계산된다. 실내조건의 인자는 체적당습도 혹은 수증기압를 사용하여 실내습도 값을 추정한다. 재료물성은 각 구조체 재료의 성능을 계산하기 위해 열전도율, 투습저항계수, 열 저항, 투습저항등가공기층 두께가 고려된다. 재료물성 적용시에 열전도율과 투습저항계수는 재료가 균질함을 전제로 적용된다.
ISO 13788의 인자를 통한 결로 계산은 수증기의 확산만을 기반으로 결로를 추정하며, 다음 식을 이용하여 월 평균 실외조건을 근거로 12개월 각 달의 증발량을 계산한다.
: Density of water vapour flow rate (kg/m2·s)
: Water vapour permeability of air with respect to partial vapour pressure (kg/m·s·Pa)
: Water vapour resistance factor (-)
: Vapour pressure excess (Pa)
: Thickness (m)
: Water vapour diffusion - equivalent air layer thickness (m)
EN 15026
EN 15026 표준은 독일에서 규정한 열 및 습도를 통한 습기전달 평가이다. 구조체 및 경계조건에서 열 및 액체 전달 계수, 대류 전달 계수를 근거로 비정상해석으로 내부결로에 대한 평가 방법을 제시하고 있다.
EN 15026 기준의 경우 시간평균을 근거로 하여 결로를 평가한다. 입력인자의 실외조건은 온도, 습도, 일사량, 풍속, 풍량, 습기, 단파흡수, 강수량으로 나누어지며, 복합적 기후 인자 적용이 가능하다. 또한, 강수량은 외부표면에 수직으로 적용되는 계수이며, 내부환경에 의한 인자는 온도, 습도 , 야간의 대기 중 냉각을 고려하는 장파방사도 고려된다. 재료물성은 열전도율, 투습저항계수, 열저항, 두께, 함습량, 모세관현상, 공극율로 나뉜다. 함습량은 물체의 투과성으로 결정되며, 밀도에 의해 열 인자에 영향을 미친다. 열전도와 투습저항계수는 건조상태로 가정하여 계산된다. 재료의 습기 거동(물질 이동)을 측정하기 위해 함습량 및 모세관 현상을 통한 액체전달계수을 입력하며, 수분함량에 의존하여 계산 시 상대습도 80% 상태를 가정하여 계산된다. 표면계수는 전열저항과 침기에 의해 결정되며, 침기에 의해 공기 중 습기가 유입되며, 이에 따라 습기의 확산이 발생되어 수증기압 차가 작아져 건조의 속도가 느려지게 된다.
EN 15026의 결로 계산은 습기전달 및 열전달이 동시에 계산되는 엔탈피에 변화로 계산되어지며, 각 시간마다 계산이 되어야 한다. 식 (2)은 시간에 따른 함습량변화에 해당하는 식으로써 액체의 전달량과 수증기압에 따른 수증기의 전달량으로 계산된다.
: Rate of change in moisture content [kg/m3]
: Rate of change in relative humidity [%]
D: Water transfer (capillary phenomenon) [-]
Psat: Saturated water vapor pressure [
]
식 (3)은 시간에 따른 엔탈피 변화에 대한 식으로 열전도율에 따른 축열과 기체가 액체로 상변화 되는 축열의 합을 의미하며, 증발잠열로 인한 열전달 메커니즘으로 설명된다.
: Rate of change in enthalpy [kcal/kg]
: Rate of change in temperature [K]
: Rate of change in time [-]
: Rate of change in pressure [N/m2]
입력인자 및 해석방법 비교
앞서 고찰된 ISO 13788과 EN 15026의 입력조건에 대한 항목별 인자 분석은 Table 2와 같이 ISO 13788은 수분함량에 대한 열전도도의 영향, 모세관 현상 및 액체 수분이동, 대류에 의한 열과 습기 전달, 태양의 장파복사, 기상의 영향은 무시되어지며, 1차원적인 수증기확산에 의한 습기전달만을 추정한다1). EN 15026 기준은 압력차 및 삼투 효과를 통한 액체 전달 인자를 고려하며, 재료층 사이의 경계면 저항, 온도에 따른 엔탈피의 흐름에 대한 인자를 적용한다. 두 결로의 기준은 습기전달 매커니즘을 기반으로 결로를 예측하지만 ISO 13788은 복합적인 외부 환경 및 액체전달(모세관현상)에 대응 가능하지 못하며, EN 15026은 수증기확산 뿐만 아니라 모세관 현상에 의한 액체전달까지 고려 가능하다. 또한, ISO 13788은 정상해석 방법으로 월 평균 값을 산출하며, EN 15026은 비정상해석 방법으로 시간단위로 값을 산출한다. 이와 같은 입력 인자 및 해석 방법의 차이로 인하여 ISO 13788에 비해 EN 15026을 적용한 내부결로 계산법이 보다 정밀한 결과를 산출할 수 있을 것으로 판단된다.
기준에 따른 내부결로 평가 결과 및 비교
해석방법 개요
ISO 13788과 EN 15026의 평가 방법 비교를 위한 결로 해석 도구는 WUFI를 사용하였다. WUFI는 외기에 노출된 건물요소들에서 1차원 및 2차원 구조체 형상에 대한 동적 열 및 습기 분석이 가능한 프로그램으로써 구조체 내부의 온습도에 따른 결빙, 부식, 곰팡이 발생여부에 대한 분석이 가능하다. WUFI는 유한체적법을 기반으로 하며, 온도, 습도, 일사량, 풍속 등의 복합적인 기후데이터 적용이 가능하다. 또한, 단파흡수 및 장파방사와 재료의 공극율과 함수량에 따른 모세관 흡수 및 수증기압 차이에 의한 투습저항계수도 입력이 가능하다. 단, 본 연구의 ISO 13788의 해석결과는 습기전달의 인자만 입력하여 비정상상태의 성능평가를 진행하였다.
성능평가 환경설정
해석을 위한 모델 및 환경설정은 Figure 5, Table 3, Table 4에서 나타나듯이 성능평가를 위해 결로 발생 가능성이 비교적 큰 구조체로 설정하였으며, 모델의 구성요소는 Cement Lime Plaster 20mm, Solid Brick Masonry 400mm, Interior Plaster 15mm, EPS 60mm, Interior Plaster 15mm로 설정하였다. 환경인자의 실외조건은 서울 북동향을 기준으로 성능평가를 실시하였으며, 서울의 5년(43,800h) 동안의 날씨를 측정한 기후데이터를 사용하였다. 또한, 실내조건은 국내 주택의 통상적인 조건인 실내온도 25.5°C와 상대습도 57.5%로 설정하였다.
성능평가 방법
본 연구는 대한민국 서울을 기준으로 WUFI를 이용한 성능평가를 실시하였으며, 5개 년 동안의 분석을 진행하였다. 단, 성능평가는 함수율이 수렴하는 4개년은 제외하였으며, 1년 동안의 성능 비교만 진행하였다. 또한, 내부결로가 발생이 우려되는 구조체 경계면인 Solid Brick Masonry와 Interior Plaster 경계면과 EPS와 Interior Plaster 경계면의 분석결과를 토대로 성능평가를 실시하였으며, 구조체 내부 경계면에서 습도 80% 이상이면 결로 발생 위험이 있다는 선행연구의 기준을 참고하여 임계조건을 설정하였다.
성능평가 결과 및 비교
ISO 13788의 인자만을 고려한 비정상 조건에 따른 성능평가 결과
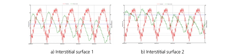
ISO 13788 분석 시 앞서 고찰한 인자만을 고려하였으며, EN 15026과 비교하기 위해 비정상 조건에서 성능평가를 진행하였다. 구조체 내부 경계면의 온습도 시뮬레이션 평가 결과는 Figure 6과 같다.
첫 번째, Solid Brick Masonry와 Interior Plaster 경계면(접촉면 1)의 경우 시뮬레이션 대상 기간의 온도분포는 -2.1°C~27.8°C, 상대습도 분포는 76.2%~82.2% 사이이며, 연간 40.2%에 해당하는 시간동안(3523/8760h) 상대습도 80% 이상으로 나타나고 있다. 따라서 Solid Brick Masonry와 Interior Plaster 경계면 사이에서 결로의 위험이 있을 것으로 판단된다. 결로 발생 위험도가 높은 계절은 겨울(1502/2160h) 및 봄(2021 /2208h)으로 나타난다.
두 번째, EPS와 Interior Plaster 경계면(접촉면 2)의 경우 시뮬레이션 대상 기간의 온도분포는 0.9°C~27.8°C, 상대습도 분포는 75.9%~81.0% 이며, 연간 20.8%에 해당하는 시간동안(1824 /8760h) 상대습도 80% 이상으로 나타나고 있다. 따라서 EPS와 Interior Plaster 경계면 사이에서 결로 발생 위험이 있을 것으로 판단된다. 또한, 결로 발생 위험도가 높은 계절은 겨울 (1113/2160h) 및 봄(711/2208h)으로 나타난다.
EN 15026에 따른 성능평가 결과
Figure 7은 동일한 경계면의 온습도에 대한 EN 15026의 성능평가 결과이다.
첫 번째, Solid Brick Masonry와 Interior Plaster 경계면의 경우 연간 온도분포는 -3.9°C~ 27.8°C, 상대습도 분포는 76.1%~80.9% 이며, 연간 24.0%에 해당하는 시간동안(2105/8760h) 상대습도 80% 이상으로 나타나고 있다. 따라서 Solid Brick Masonry와 Interior Plaster 경계면 사이에서 결로 발생 위험이 있을 것으로 판단된다. 결로 발생 위험도가 높은 계절은 겨울(1176/2160h) 및 봄(929/2208h)으로 나타난다.
두 번째, EPS와 Interior Plaster 경계면의 경우 연간 온도분포는 1.23°C~27.7°C, 상대습도 분포는 75.8%~79.8%이며, 연간 상대습도 80% 이하이다. 따라서 EPS와 Interior Plaster 경계면 사이에서 결로가 발생 위험도는 낮을 것으로 판단된다.
성능평가 결과 비교
본 연구에서 실시한 ISO 13788에 따른 수증기 확산에 따른 결로 발생 위험도와 EN 15026에 따른 수증기 확산 및 액체전달을 동시에 고려한 결로 발생 위험도를 비교 분석 결과는 Figure 8, Table 5와 같다.
첫 번째, Solid Brick Masonry와 Interior Plaster 경계면의 경우 ISO 13788의 평가방법에 대비하여 EN 15026로 평가한 결로 발생 예상기간은 16.2% 낮다.
증가기는 실외의 온습도가 감소하여 실내외 수증기압차가 높아져서 실내에서 접촉면으로 수증기 확산이 일어난다. 또한, 실외측에서 벽돌을 통해 액체전달(흡착 및 방출) 현상이 발생된다. ISO 13788에 따른 온도차에 의한 수증기 확산만을 고려하면 실내측으로 부터의 수증기 확산이 빠르게 일어나 시간에 따른 결로 위험도 발생의 변화가 빠르게 응답하여 11월에 결로 발생 위험도가 증가하는 것으로 나타난다.
액체전달을 동시에 고려한 EN 15026의 경우 벽돌 층에서 실외조건인 강수, 적설의 영향을 받게 되며, 온도차에 의한 수증기 확산 및 모세관현상에 의한 액체전달이 동시에 일어나게 된다. 액체전달에 의하여 구조체 공극으로부터 액체가 방출되면 접촉면으로부터 실외측으로 수증기확산이 유도되어 이로 인해 결로 위험도가 발생하는 시간대가 약 1~2개월 늦게 나타나며, 위험도가 발생하는 시간이 적게 나타난다.
감소기는 3, 4, 5, 6월로서 실외의 온습도가 증가되며, 구조체의 실내 측에 단열재가 있어 접촉면과 실외의 온도차가 작아지게 된다. 이로 인해 실외측으로의 수증기확산은 작아지게된다. 따라서, ISO 13788에 따른 온도차에 의한 수증기 확산만을 고려하면 실외 측으로 수증기 확산이 느리게 일어나며, 이로 인한 시간에 따른 결로 위험도 감소의 변화가 느리게 응답한다. 그러나 모세관현상에 의한 액체전달을 동시에 고려한 EN 15026의 경우 증가기와 마찬가지로 액체의 전달이 수증기 확산을 유도하여 결로 발생 위험도가 급격히 낮아진다.
소강기는 실외의 온습도가 증가되어 실내외 온도차가 적어지게 된다. 이에 ISO 13788 및 EN 15026의 평균 습도는 77.6%, 77.2% 이하로 나타나며, 평형상태가 되어 수증기 확산과 모세관현상에 의한 액체전달이 일어나지 않아 결로 발생 위험도가 없는 것으로 판단된다.
두 번째, EPS와 Interior Plaster 경계면의 경우 ISO 13788 평가방법 결과는 연간 20.8%에 해당하는 시간동안(1824 /8760h) 결로 위험이 있으며, EN 15026 평가방법 결과에서는 결로 발생 위험이 나타나지 않았다. 접촉면 2는 Interior Plaster에 의하여 액체 흡착 및 방출이 수증기의 확산을 방지하게 된다. 이에 온도차에 의한 수증기 확산만을 고려하는 ISO 13788은 실내측으로 수증기 확산이 일어나 결로 위험이 발생된다. 하지만 수증기 확산 및 모세관현상에 의한 액체전달을 고려하는 EN 15026은 Interior Plaster의 액체 흡착 및 방출이 수증기의 확산을 방지하기 때문에 접촉면 2에서의 상대습도는 임계값인 상대습도 80% 미만으로 나타나 결로 위험도가 없는 것으로 판단된다.
이에 본 연구에서 실시한 기준 별 성능평가 결과는 수증기확산만을 고려한 ISO 13788에 따른 계산 방식은 주위 경계조건의 온도변화에 민감하게 반응하나 액체전달을 동시에 고려한 EN 15026에 따른 계산방식은 재료층 내에 함습된 액체가 수증기확산을 방해 또는 유도하여 결로 발생 위험도에 대한 반응에 시간차가 발생한다.
결 론
본 연구는 국외 내부결로 평가방법을 고찰하고, 각 방법에서 평가를 위한 인자를 도출하고, 각 평가방법에 따른 모델을 시뮬레이션 도구를 통해 해석하여 결과를 비교하였다. 이에 대한 결론은 다음과 같다.
(1) 국내 결로에 대한 기준은 국내 국토교통부에서 규정하고 있는 ‘공동주택 결로 방지 설계기준’에 표기 되어 있지만, 온도구배에 의한 노점온도 평가방법을 통해 도출된 표면결로 평가로써 내부결로 현상은 대상이 아니다.
(2) ISO 13788 및 EN 15026의 기준은 습기전달 매커니즘을 기반으로 결로를 예측하며, ISO 13788은 월평균 온습도를 통한 정상해석 방법으로 복합적인 외부 환경을 반영하지 못한다. EN 15026은 시간별 온습도, 강수, 풍속, 복사 조건을 고려하여 수증기확산 뿐만 아니라 액체전달(모세관현상)을 평가하므로 수증기 확산의 방향과 액체전달의 방향을 동시에 고려하여 판단한다.
(3) 성능평가 결과 Solid Brick Masonry와 Interior Plaster 경계면(접촉면 1)의 경우 ISO 13788 및 EN 15026의 결로 발생 위험도는 각각 연간 40.2% (3523/8760h) 및 24.0% (2105/8760h)로 나타난다. ISO 13788에 따른 결과에 대비하여 EN 15026에 따른 결과는 결로 발생 위험이 적게 나타나며, 결로 발생 위험 기간이 1~2개월 늦게 나타난다. 이는 실외측의 벽돌 재료층 내부의 액체전달이 해당 접촉면에서의 수증기 확산을 유도하기 때문이다.
(4) 성능평가 결과 EPS와 Interior Plaster 경계면(접촉면 2)의 경우 ISO 13788에 따른 결과에서 결로 발생 위험도는 연간 20.8% (1824/8760h)이며, EN 15026에 따른 결과는 결로 발생 위험이 나타나지 않는다.
결론적으로 구조체 내의 함습량을 결정하는 주요 인자는 수증기 확산뿐만 아니라 액체전달(모세관현상)이며, 이로 인해 시간에 따른 결로 위험의 경향이 다르게 나타난다.
본 연구에 추가적으로 수증기 확산만을 고려한 ISO 13788 계산방법과 수증기 확산 및 액체전달을 동시에 고려한 EN 15026 계산방법의 정확한 차이를 도출하기 위해서는 다양한 구조체에 대한 함습 절대량에 대한 비교분석이 요구된다.
1) Intechopen, (2010), Numerical Simulations - Examples and Applications in Computational Fluid Dynamics, Chapter6.


















