서 론
건물 출입문 침기량에 관한 산정식 도출
출입문 침기량 측정 실험 개요
예비 실험을 통한 실험 기준값 설정
통행량을 반영한 개폐 시나리오
출입문 침기량 측정 실험
출입문 침기량 실험 결과 및 분석
통행량을 고려한 유동보정계수 Ce 도출
추세선 도출 및 회귀식 산정
결 론
서 론
건물의 출입문은 이용자의 통행을 위한 필수적인 건축 요소인 동시에, 실내외 공기가 직접적으로 유출입되는 주요 경로로서 건물의 에너지 성능, 실내 쾌적성 및 냉난방 부하에 큰 영향을 미친다(Karlsson, 2013). 선행 연구에 따르면, 출입문과 창문을 통한 침기량은 건물 전체 침기량의 약 6~22%를 차지하며, 평균적으로는 약 15% 수준으로 보고되고 있다(ASHRAE, 2017). 이 중에서도 출입문은 빈번한 개폐로 인해 단시간 내 대규모 공기유동이 발생하는 특징을 가지며, 특히 고층건물의 경우 압력차가 증가함에 따라 출입문에 작용하는 압력차 역시 커져 출입문 침기량에 직접적인 영향을 미치게 된다(Lim et al., 2013).
출입문을 통한 침기는 일반적으로 문이 닫힌 상태에서 틈새를 통해 발생하는 침기와, 문이 개폐되는 과정에서 개구부를 통해 발생하는 침기로 구분할 수 있다(Van et al., 2003). 닫힌 상태에서는 출입문의 기밀성능이 침기량을 결정하는 주요 요인으로 작용하는 반면, 개폐 시에는 이용자의 통행량, 출입문 면적, 그리고 출입문에 작용하는 압력차가 주요 영향 인자로 작용한다(Lim et al., 2013). 이러한 침기는 의도되지 않은 외기의 유입으로서, 실내 환경의 쾌적성을 저하시킬 뿐만 아니라 건물의 에너지 효율에도 부정적인 영향을 미친다(Raffat et al, 2025).
그동안 수행된 선행 연구들은 주로 틈새를 통한 침기, 즉 문이 닫힌 상태에서의 기밀성능 평가나 문이 완전히 개방된 상태에서의 침기에 초점을 두고 진행되었으며, 문이 열리고 닫히는 과정에서 발생하는 동적 침기에 대한 정량적 분석은 상대적으로 부족한 상태이다(Lim et al., 2013). 특히 출입문 개폐 시에는 압력차, 통행량, 방풍실 유무 등 다양한 인자가 복합적으로 작용하므로(Lim et al., 2013), 정적 개구부를 가정한 기존의 침기량 산정식으로는 실제 건물에서 발생하는 공기유동을 충분히 설명하기 어렵다(Han et al., 2015). 또한 현재 널리 활용되고 있는 건물 에너지 시뮬레이션 도구 역시 주로 틈새 공기유동 산정식을 기반으로 하고 있어, 압력차와 통행량을 동시에 고려한 출입문 침기량을 적절히 반영하지 못하는 한계가 있다(Choi et al., 2023).
이에 본 연구에서는 건물 출입문에 작용하는 압력차와 이용자 통행량을 동시에 고려한 출입문 침기량 산정식을 제안하고자 한다. 이를 위해 출입문 침기량을 개방 상태의 침기량이 아닌 개폐 시 침기량으로 구분하였으며, 실험실 조건에서 압력차, 통행량, 방풍실 유무를 변화시킨 실험을 통해 유동보정계수를 도출하고 이를 출입문 침기량 산정식에 도입하였다. 제안된 산정식은 통행량과 방풍실 유무를 반영하여 출입문 침기량에 대한 추후 연구의 기초자료로 활용될 수 있을 것으로 기대된다.
건물 출입문 침기량에 관한 산정식 도출
출입문을 통한 침기는 두 가지 상태로 구분할 수 있다. 문이 닫힌 상태에서는 틈새를 통한 침기가 발생하며, 문이 개방된 상태에서는 개구부를 통한 공기유동이 지배적으로 나타난다. 따라서 출입문 침기량을 정량적으로 산정하기 위해서는 문이 닫힌 상태에서의 침기와 개폐 과정에서 발생하는 공기유동을 모두 고려할 필요가 있다. 이때 출입문에 작용하는 압력차는 공기유동의 주요 구동력으로 작용하며, 출입문 개폐 시에는 이용자의 출입이 직접적으로 관여하므로, 통행량과 출입문 사용 시간 비율 역시 주요 변수로 고려되어야 한다.
기존 연구에서는 개구부를 통한 침기량 산정 시 압력차와 개구부 면적을 주요 변수로 설정하여 출입문을 정적 상태의 개구부로 묘사했다. 이러한 접근 방식은 출입문의 개폐 과정에서 나타나는 동적 변화와 이용자 출입에 따른 통행 특성을 충분히 반영하지 못한다는 한계를 지닌다. 이에 본 연구에서는 기존 물리적 기반의 침기량 산정식을 바탕으로 출입문 개폐 시 발생하는 침기량을 평가할 수 있도록 새로운 출입문 침기량 산정식을 도출하고자 한다.
출입문이 개방될 때 발생하는 침기량은 개구부를 통과하는 공기유동에 의해 결정되며, 일반적으로 Large Opening 식을 적용하여 산정되어 왔다. Large Opening 식은 오리피스 방정식에 기반한 형태로, 그 식 (1)은 다음과 같다.
여기서, 는 큰 개구부를 통한 공기유동량(Air infiltration rate through large opening, m³/h), 는 방출계수(Discharge coefficient, -), 는 출입문 개구부 면적(Opening area, m²), 는 출입문에 작용하는 압력차(Pressure difference, Pa), 𝜌는 공기 밀도(Air density, kg/m³)를 의미한다.
기존 Large Opening 식은 출입문을 일정한 면적을 갖는 정적 개구부로 가정하고, 방출계수 를 일정한 값으로 적용한다. 그러나 실제 출입문은 시간에 따라 개폐가 반복되는 동적 개구부이며, 이용자의 통행량에 따라 개구부 면적과 유동 조건이 지속적으로 변화하고, 개폐 과정 동안 정상 상태가 아닌 과도 상태(transient state)의 유동이 발생한다. 즉, 출입문 개폐 과정에서 발생하는 침기량은 문이 완전히 개방된 상태의 정적 유동을 가정한 기존 Large Opening 식만으로는 충분히 설명하기 어려우며, 기존 식이 가정한 정적 유동 조건과 실제 출입문 개폐 시 발생하는 동적 유동 조건 간에는 차이가 존재한다.
이에 출입문 개폐 시 발생하는 침기량을 보다 합리적으로 산정하기 위하여, 기존 Large Opening 식이 가정한 정적 유동과 실제 출입문 개폐 조건에서 발생하는 동적 유동 간의 차이를 반영할 수 있는 유동보정계수 (Entrance correction fator, -)를 도입하였다. 유동보정계수 는 기존 방출계수 의 수치를 직접 보정하는 계수가 아니라, 정적 개구부를 가정한 기존 Large Opening 식의 유동 가정과 실제 출입문 개폐 시 발생하는 동적 유동 간의 차이를 반영하기 위해 도입된 계수이다.즉, 는 정적 유동 조건에서 정의된 방출계수 대신, 실제 출입문 개폐 및 이용자 통행량에 따른 유동 특성을 반영하여 적용되는 유동보정계수로서, 기존 Large Opening 식의 방출계수 를 로 치환하여 실제 출입문 사용 조건에서의 침기량을 산정할 수 있도록 한다. 이를 통해 기존 Large Opening 식의 구조를 유지하면서도 이용자 통행량에 따른 실제 침기량을 보다 현실적으로 반영할 수 있도록 하였다. 출입문 개폐 시 침기량은 다음 식 (2)와 같이 정의된다.
출입문 침기량 측정 실험 개요
출입문을 통한 공기유동은 정적 조건이 아닌, 이용자의 통행량, 개폐 소요시간과 같은 동적 요소에 의해 변화한다. 이러한 특성을 고려할 때 실제 출입 상황에서 발생하는 공기유동을 정확히 반영하기 위해서는 실험을 통한 정량적 분석이 필요하다. 따라서 출입문침기량을 고려한 유동보정계수 를 도출하기 위해 출입문이 열리고 닫히는 과정에서 발생하는 침기를 측정하였으며 건물 이용자의 출입 특성을 반영하였다.
예비 실험을 통한 실험 기준값 설정
본 실험에 앞서, 출입문 개폐 실험 조건의 타당성을 확보하기 위하여 사전 검토를 목적으로 한 예비 실험을 수행하였다. 예비 실험은 두 가지 절차로 나누어 진행하였다. 먼저 실제 건물 이용자를 대상으로 1시간 동안 출입문 개폐 장면을 영상으로 기록하고, 이를 분석하여 대표적인 출입문 개폐 소요시간을 도출하였다. 다음으로 출입문 최대 개방 각도를 45°, 60°, 90°로 달리 설정한 뒤, 각 조건에서 침기량을 반복 측정하여 개폐 각도 변화에 따른 침기량의 차이를 정량적으로 분석하였다. 이러한 예비 분석 결과를 토대로 본 실험에 적용할 출입문 개폐 소요시간과 최대 개폐 각도를 최종적으로 결정하였다.
실제 이용자의 출입문 개폐 소요시간은 이용자에 따라 상이하게 나타난다. 이에 본 연구에서는 출입문 개폐 특성을 보다 현실적으로 반영하기 위하여, 1시간 동안의 영상 자료를 활용해 실제 이용자의 출입문 개폐 소요시간 데이터를 수집·분석하였다(Figure 1). 수집된 개폐 소요시간 영상 자료를 분석한 결과, 출입문 개폐 시간은 약 5초에서 9초 사이에 분포하는 것으로 나타났다. 이 중 7초 구간에서 관측 빈도가 가장 높게 나타나 최빈값으로 확인되었으며, 분포 특성 분석에서도 해당 구간에 데이터가 집중되는 경향이 나타났다. 또한 산정한 평균 개폐 소요시간 역시 7초로 도출되었다.
한편 출입문의 개폐 각도는 실내외 공기유동에 영향을 미치는 주요 변수 중 하나로, 개폐 각도가 증가할수록 개구부 면적이 증가하여 침기량이 증가할 가능성이 있다. 다만 일정 각도 이상에서는 침기량 증가가 완만해질 수 있다. 이러한 경향을 확인하기 위해 본 연구에서는 최대 개방 각도를 45°, 60°, 90°로 설정하여 예비 실험을 수행하였다. 조건별로 출입문을 1회 개폐하는 경우를 기준으로 침기량을 10회 반복 측정하였으며, 측정 결과를 바탕으로 개폐 각도별 평균 침기량을 산정하였다(Figure 2).
개폐 각도별 침기량 측정 결과를 비교한 결과, 각 조건 간에 일부 차이는 관찰되었으나 전반적으로는 서로 유사한 수준의 침기량이 나타나는 경향을 보였다. 이를 그래프로 표현하여 분석한 결과에서도, 개폐 각도 변화에 따른 침기량 곡선은 각 조건에서 거의 동일한 형태로 분포하는 것으로 확인되었다. 즉, 출입문의 개방 각도가 증가하더라도 침기량의 증가는 명확하게 나타나지 않았으며, 일정 각도 이상에서는 개폐 각도의 변화가 침기량에 미치는 영향이 제한적인 것으로 판단된다. 이는 실제 건물 조건에서 출입문이 개폐될 경우, 최대 개폐 각도의 차이가 침기량 변화에 미치는 영향이 크지 않을 가능성을 시사한다.
이러한 예비 실험 결과를 바탕으로, 본 실험에서는 출입문 개폐 소요시간을 7초로 설정하고, 최대 개폐 각도는 90°를 기준 조건으로 적용하여 실험을 진행하였다.
통행량을 반영한 개폐 시나리오
본 실험에서는 건물 이용자의 실제 출입 패턴을 반영하기 위해 통행량을 고려한 출입문 개폐 시나리오로 구성하였다(Figure 3). 시나리오는 출입문 개폐 빈도와 연속성에 따라 구분하였으며, 각 조건은 실제 건물에서 관찰되는 대표적인 출입 패턴을 모사하도록 설정하였다.
시나리오 1은 출입문이 한 차례 개폐하고 일정 시간 동안 완전히 닫힌 상태가 유지된 후 다시 개폐가 이루어지는 경우를 가정한 조건이다. 이는 이용자 수가 적은 시간대와 같이 출입이 간헐적으로 발생하는 상황을 반영한 것으로, 한 번의 개폐 이후 충분한 휴지 시간이 존재하는 패턴을 나타낸다. 해당 시나리오에서 1분당 최대 통행량은 2명이다.
Table 1.
Sceanario for entrance door operation reflecting traffic rate
시나리오 2는 출입문이 연속적으로 개폐되는 상황을 가정한 조건으로, 한 이용자의 출입이 종료되는 즉시 다음 이용자의 출입으로 인해 출입문이 다시 개폐되는 형태를 나타낸다. 이와 같은 연속 개폐 조건에서는 출입문이 완전히 닫히지 않은 상태에서 다음 개폐가 이루어질 가능성이 존재한다. 이에 본 연구에서는 재개폐가 발생하기 직전의 출입문 개방 상태를 기준으로 시나리오 2를 세 가지 하위 조건으로 세분화하였다.
시나리오 2-1은 출입문이 완전히 닫힌 상태(0°)에서 다시 개폐가 이루어지는 경우를 의미하며, 시나리오 2-2는 출입문이 거의 닫힌 상태인 약 10° 개방 상태에서 재개폐가 발생하는 조건이다. 또한 시나리오 2-3은 출입문이 절반가량 닫힌 상태인 45° 개방 상태에서 재개폐가 이루어지는 경우를 가정하였다. 각 하위 시나리오에 대한 분당 최대 통행량은 각각 8명/min, 10명/min, 13명/min으로 설정하였다.
시나리오 3은 출입문이 일정 시간 동안 닫히지 않고 열린 상태가 지속되는 조건을 가정한 것이다. 이는 이용자의 출입이 연속적으로 발생하여 출입문이 반복적으로 개폐되지 않고, 개방 상태가 유지된 채 통행이 이루어지는 상황을 모사한 시나리오이다. 이와 같이 설정한 개폐 시나리오는 Table 1에 제시하였다.
출입문 침기량 측정 실험
출입문 개폐 과정에서 발생하는 침기량을 측정하고, 출입문에 작용하는 압력차 변화가 침기량에 미치는 영향을 정량적으로 분석하기 위해 출입문 침기량 측정 실험을 진행하였다. 실험은 Figure 4와 같이 실내측에 압력 유도 팬을 설치하여 출입문 양단에 인위적인 압력차를 형성하는 방식으로 진행하였다.
출입문 침기량 측정은 통행량, 방풍실 유무의 조합에 따라 10가지의 경우에 대해 Table 2와 같이 실시하였다. 압력차는 10 Pa 간격으로 단계적으로 증가시켰으며, 각 압력 단계마다 침기량을 5회 반복 측정하였다. 실험 조건은 방풍실 설치 여부와 앞서 정의한 통행량 기반 개폐 시나리오를 반영하여 구성하였으며, 모든 조건에서 동일한 실험 절차를 적용하였다.
Table 2.
Test Case of Infiltration Measurement
| Classification | |
| Vestibule | X, ○ |
| Traffic rate | SC 1 / SC 2(2-1, 2-2, 2-3) / SC 3 |
| Pressure difference (Pa) | 20~100 |
| Number of measurements | 5 times at each pressure difference |
출입문 침기량 실험 결과 및 분석
통행량 기반 개폐 시나리오와 압력차 조건에 따라 측정된 출입문 침기량 실험 결과를 방풍실 설치 여부에 따라 구분하여 Figure 5에 나타내었다. 방풍실이 설치되지 않은 조건에서 통행량에 따른 출입문 침기량을 분석한 결과, 간헐적 재개폐 조건에 해당하는 시나리오 1의 침기량은 압력차 100 Pa 기준 약 421.63 m³/h 수준으로 나타났으며, 압력차가 증가함에 따라 침기량의 변화 폭은 비교적 완만한 것으로 확인되었다. 이에 반해 연속 개폐 조건인 시나리오 2와 출입문이 개방 상태로 유지되는 시나리오 3에서는 압력차 증가에 따라 침기량이 급격히 증가하는 경향이 뚜렷하게 나타났다. 특히 시나리오 2의 세부 조건을 비교한 결과, 재개폐 직전의 출입문 개방 각도가 클수록 침기량이 증가하는 특성이 확인되었다. 압력차 100 Pa 조건에서 시나리오 2-1은 약 1,912.45 m³/h, 시나리오 2-2는 약 2,476.80 m³/h, 시나리오 2-3은 약 3,435.43 m³/h의 침기량을 기록하였다. 한편 지속 개방 조건에 해당하는 시나리오 3에서는 침기량이 약 3,570.15 m³/h로 나타나, 시나리오 1 대비 약 8.5배 이상 증가한 것으로 분석되었다. 이러한 결과로부터 방풍실이 없는 경우, 통행량 증가와 압력차 상승이 출입문 침기량의 증가로 이어지며, 전반적으로 압력차에 따른 침기량의 증가 경향이 형성됨을 확인할 수 있었다. 다음으로 방풍실이 설치된 조건에서의 통행량별 출입문 침기량 실험 결과를 제시한다.
방풍실이 설치된 조건에서 통행량에 따른 출입문 침기량을 분석한 결과, 모든 시나리오에서 압력차가 증가함에 따라 침기량이 증가하는 경향이 나타났으나, 방풍실이 설치되지 않은 경우와 비교할 때 전반적인 침기량 수준은 낮게 나타났다. 시나리오 1의 경우 압력차 100 Pa에서 침기량은 약 345.65 m³/h로 나타났다. 연속 개폐 조건에 해당하는 시나리오 2-1, 시나리오 2-2, 시나리오 2-3에서는 압력차 100 Pa 기준으로 각각 약 1,814.82 m³/h, 2,433.77 m³/h, 3,370.43 m³/h 수준의 침기량이 관측되었으며, 지속 개방 조건에 해당하는 시나리오 3의 경우, 압력차 100 Pa에서 침기량은 약 3,503.52 m³/h로 나타났다. 이와 같은 결과를 통해 방풍실이 설치된 경우, 방풍실이 없는 동일 조건 대비 약 2~18% 감소하는 것을 확인하였다.
통행량을 고려한 유동보정계수 Ce 도출
추세선 도출 및 회귀식 산정
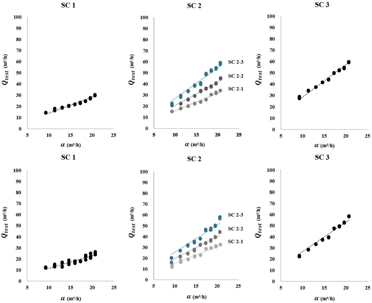
출입문 사용 조건에 따른 침기량 변화를 정량적으로 분석하기 위하여, 각 시나리오별 침기량 (Test air infiltration rate, m³/h)와 출입문에 작용하는 압력차 간의 관계를 단계적으로 분석하였다. 각 시나리오별로 침기량 를 세로축에, 를 가로축에 두어 산점도를 작성하고, 두 변수 간의 관계에 대해 원점을 지나는 선형 회귀분석을 진행하였다. 이는 압력차가 존재하지 않을 경우 침기량 역시 발생하지 않는다는 물리적 가정을 반영한 것이다. 이때, 출입문 면적과 압력차 항은 함께 사용되는 항이므로, 이를 하나의 변수 𝛼로 정의하여 분석을 진행하였다. 이때 도출된 선형 회귀식의 기울기를 출입문 사용에 따른 유동보정계수 로 정의하였다.
이와 같은 절차를 통해 시나리오 1부터 시나리오 3까지 각 통행량에 대한 를 도출하였으며, 도출된 는 각 시나리오에 대응하는 통행량과 함께 정리하여, 이용자 통행량 증가에 따른 침기량 변화를 분석하였다. 분석 결과, 통행량이 증가할수록 출입보정계수 가 증가하는 경향을 보였으며, 이는 통행량이 증가함에 따라 침기량이 증가함을 의미한다. 이러한 관계를 정량적으로 표현하기 위해, 시나리오별 를 통행량에 대한 함수 형태의 회귀식으로 도출하였고, 회귀식 (3)의 형태는 다음과 같다.
여기서, 는 이용자 통행량(Traffic rate, people/hour)이다.
도출된 유동보정계수 회귀식은 이용자 통행량 조건에 따른 출입문 침기량 산정에 직접 활용될 수 있다. 예를 들어, 특정 건물에서 방풍실이 없는 출입문의 단위시간당 이용자 통행량이 제시되고 출입문 면적과 압력차 조건이 주어진 경우, 회귀식 (3)에 통행량 를 대입하여 유동보정계수 를 산정할 수 있으며, 이를 식 (2)에 적용함으로써 해당 조건에서의 단위시간당 출입문 개폐 시 침기량 를 계산할 수 있다. 이와 같은 방법을 통해 단위시간당 출입문 개폐 시 침기량을 산정하고, 출입문이 닫힌 상태에서의 침기량과 출입문 사용시간 비율을 고려하여 합산함으로써 단위시간당 출입문 침기량을 산정할 수 있다. 이를 통해 실제 건물에서 이용자 통행량을 반영한 출입문 침기량을 정량적으로 평가할 수 있으며, 건물 에너지 시뮬레이션 수행 시 시간대별 통행량 조건에 따른 출입문 침기량 입력값 산정에 활용할 수 있다.
Figure 6은 시나리오별 침기량과 압력차 간의 관계를 산점도와 선형 추세선으로 나타낸 것이다. 각 그래프에 제시된 선형 추세선은 원점을 지나는 회귀분석 결과로, 기울기는 해당 조건에 따른 유동보정계수 를 의미하며, 해당 그래프를 통해 통행량 및 방풍실 유무에 따른 의 변화를 시각적으로 확인할 수 있다. 이를 통해 통행량을 고려한 출입문 침기량 연구 시 기초 자료로 활용할 수 있다.
결 론
본 연구에서는 출입문 개폐 시 발생하는 침기의 영향을 고려하기 위해, 기존의 정적 개구부 침기량 산정 방식에서 벗어나 이용자 통행량과 출입문에 작용하는 압력차를 동시에 고려한 출입문 침기량 산정식을 도출하고, 실험을 통해 유동보정계수 를 도출하였다. 이를 위해 출입문 침기량을 문이 닫힌 상태에서의 틈새 침기와 문 개폐 시 개구부를 통한 침기로 구분하고, 출입문 개폐 과정에서 발생하는 실제 공기유동을 반영할 수 있도록 기존 Large Opening 식에 유동보정계수 를 도입하였다.
실험에 앞서 예비 실험을 통해 실제 건물 이용자의 출입문 개폐 특성을 분석한 결과, 평균 개폐 소요시간은 약 7초로 도출되었으며, 최대 개폐 각도의 변화는 침기량에 미치는 영향이 제한적인 것으로 나타났다. 이를 바탕으로 본 실험에서는 개폐 소요시간을 7초, 최대 개폐 각도를 90°로 설정하고 진행하였다. 또한 통행량을 반영한 개폐 시나리오를 구성하였다. 이후 압력차를 단계적으로 변화시키며 출입문 개폐 시 침기량 측정 실험을 진행하여, 통행량 · 압력차 · 방풍실 유무에 따른 출입문 침기량 데이터를 확보하였다. 실험 결과, 통행량이 증가할수록 출입문 침기량은 증가하는 경향을 보였으며, 특히 지속적 개방 상태에서는 침기량이 크게 증가하는 것으로 나타났다. 반면 방풍실이 설치된 경우에는 동일한 통행량 조건에서도 침기량이 방풍실이 설치되지 않은 경우에 비해 전반적으로 감소하여, 방풍실이 출입문 침기 저감에 효과적인 요소임을 확인하였다. 이러한 결과는 출입문 침기량이 압력차에 의해서만 결정되는 것이 아니라, 이용자 통행량과 방풍실 유무에 대해서도 영향을 받는다는 것을 시사한다. 또한 출입문 침기량 실험 데이터를 기반으로 유동보정계수 를 산정하고, 통행량에 따른 회귀식을 도출하였다. 도출된 유동보정계수는 기존 침기량 산정식에서 고려되지 않았던 이용자 통행량을 반영할 수 있다는 점에서, 기존 방식의 한계를 보완할 수 있을 것으로 판단된다.
본 연구는 단일 출입문 형식과 제한된 실험 조건을 대상으로 수행되었으며, 자동문이나 회전문과 같은 다양한 출입문 유형과 실제 건물 운영 환경을 충분히 반영하지 못한 한계점이 있다. 또한 실험실 규모의 챔버 환경에서 수행된 실험 결과는 실제 건물의 침기 특성 및 압력 분포와 차이가 존재할 수 있으므로, 출입문 개폐 각도 및 통행량에 따른 침기량 특성은 실제 건물 조건에서 다르게 나타날 가능성이 있다. 따라서 실험실에서의 압력차 조건 및 챔버 환경과 실제 건물 조건 간 차이를 고려할 때, 실제 건물 적용 시 추가적인 검증이 필요하다. 다만, 출입문 개폐 시 발생하는 침기량을 실험적으로 분석하고, 이용자 통행량을 고려한 출입문 침기량 산정식은 출입문 침기량을 보다 합리적으로 반영하기 위한 기초 자료로 활용될 수 있을 것으로 기대된다. 향후 연구에서는 다양한 출입문 형식과 실제 건물에서의 압력차 및 건물 규모 특성을 반영한 현장 실측 연구를 통해 본 연구에서 제안한 산정식과 유동보정계수 의 적용성을 확장할 필요성이 있다.








